
ASPIRATORE CHIRURGICO SUPER VEGA – 2 X 2 L
SUPER VEGA SUCTION ASPIRATOR it’s an electrical powered surgical aspirator (230V ~ / 50Hz) used for the nasal, oral, and tracheal suction in man of body liquids (mucus, catarrh or blood).
The equipment is equipped with a trolley provided with 5 wheels (three of them are provided with a locking system in order to avoid the equipment can overbalance) and an external plastic enclosure. Thanks to these characteristics and to the rating that it has, this product is particularly suitable for hospital use, minor surgical applications and post-operative therapy at home. Made of highly heat resistant, electrically insulated plastic material in conformity with the latest European safety standard, the product is supplied with 2 complete polycarbonate autoclavable jars with an overflow valve and it is equipped with an aspiration regulator and vacuum indicator located on the front panel.
A device designed to provide easy transport and use CONTINUOUS. On request, it is available the version with pedal control and version with pedal control and collection flow diverter.
28191 SUPER VEGA SUCTION ASPIRATOR ON TROLLEY
28192 SUPER VEGA SUCTION ASPIRATOR ON TROLLEY WITH FOOTSWITCH
GENERAL WARNING
Read instruction manual carefully before use.
Only highly qualified staff use reserved.
The instrument must not be disassembled. For a technical service always contact Gima.
Keep off the reach of children or not capable people without supervision.
Full containers must be handled with great care during transfer to the disposal areas, following the local procedures and regulations.
IMPORTANT SAFETY RULES
- 1Check the condition of the unit before each use. The surface of the unit should carefully inspected for visual
damage. Check the mains cable and do not connect to power if damage is apparent; - Before connecting the appliance always check that the electric data indicated on the data label and the type
of plug used, correspond to those of the mains electricity to witch it’s to be connected; - Respect the safety regulations indicated for electrical appliances and particularly:
– Use original components and accessories provided by the manufacturer to guarantee the highest efficiency and safety of the
device.
-The device can be used only with the bacteriological filter.- Never immerge the appliance into water.
– Position the device on stable and flat surfaces in a way that the air inlets on the back aren’t obstructed;
– To avoid incidents, do not place the aspirator on unstable surfaces, which may cause it to accidentally fall and lead to a malfunction and/or breakage. Should there be signs of damage to the plastic parts, which may expose inner parts of the energised device, do not connect the plug to the electrical socket. Do not attempt to make the device work before it has been thoroughly checked by qualified personnel and/or the GIMA technical service department.
– Don’t use in the presence of inflammable substances such as anaesthetic, oxygen or nitrous oxide.
– Don’t touch the device with wet hands and always prevent the appliance coming into contact with liquids.
If you accidentally fell into the water, unplug the power cord from the power outlet before grasping the appliance.
– Don’t leave the appliance connected to the power supply socket when not in use.
– Don’t pull the power supply cable to disconnect the plug remove the plug from the mains socket correctly.
– Store and use the device in places protected against the weather and far from any sources of heat. After each use, it is recommended to store the device in its own box away from dust and sunlight.
– Don’t use the device thoracic drainage.
– In general, it is inadvisable to use single or multiple adapters and/or extensions. Should their use be necessary, you must use ones that are in compliance with safety regulations, however, taking care not to exceed the maximum power supply tolerated, which is indicated on the adapters and extensions. - For repairs, exclusively contact technical service and request the use of original spare parts. Failure to comply with the above can jeopardise the safety of the device.
- Use only for the purpose intended. Don’t use for anything other than the use defined by the manufacturer.
The manufacturer will not be responsible for damage due to improper use or connection to an electrical system not complying with current regulation. - The medical device requires special precautions regarding electromagnetic compatibility and must be in- stalled and used in accordance with the information provided with the accompanying documents: the SUPER VEGA SUCTION ASPIRATOR device must be installed and used away from mobile and portable RF communication devices (mobile phones, transceivers, etc.) that may interfere with the said device.
- Instrument and accessory discharging must be done according to current regulations in the country of use.
- WARNING: Do not change this equipment without the permission of the manufacturer Gima S.p.A. None of the electric or mechanical parts have been designed to be repaired by customers or end-users. Don’t open the device, do not mishandle the electric/mechanical parts. Always contact technical assistance.
- Using the device in environmental conditions different than those indicated in this manual may harm seriously the safety and the technical characteristics of the same.
- The medical device is in contact with the patient by means of a disposable probe (supplied with the device) furnished with the relative CE compliance certification according to the requirements of regulation ISO 10993-1: thus, no allergic reactions and skin irritations may occur.
- The product and its parts are biocompatible in accordance with the requirements of regulation EN 60601-1.
- The operation of the device is very simple and therefore no further explanations are required other than those indicated in the following user manual.
The manufacturer cannot be held liable for accidental or indirect damages should the device be modified, repaired without authorization or should any of its components be damaged due to accident or misuse. Any minimal modification/repair on the device voids the warranty and does not guarantee compliance with the technical requirements provided by the MDD 93/42/EEC (and subsequent changes) and its normative.
CONTRAINDICATIONS
– Before using the ASPIRATOR, consult the instructions for use: failure to read all the instructions in this manual can be harmful for the patient.
– The device cannot be used to drain chest fluids.
– The device must not be used for suction of explosive, corrosive or easily flammable liquids.
– ASPIRATOR is not suitable for MRI. Do not introduce the device in MRI environments.
TECHNICAL CHARACTERISTICS
| Model | SUPER VEGA SUCTION ASPIRATOR |
| Typology (MDD 93/42/EEC) | Medical Device Class Ila |
| Classification UNI EN ISO 10079-1 | HIGH VACUUM / HIGH FLOW |
| Main Voltage | 230 V — / 50 Hz |
| Power consuption | 110 VA |
| Fuse | F 1 x 1.6A L 250 V |
| Maximum suction aspiration (without jar) | -80kPa (- 0.80bar) |
| Minimum suction aspiration (without jar) | Less than -40kPa (-0.40 bar) |
| Maximum flow (without jar) | 40 I/min |
| Weight | 6.2 Kg |
| Dimension | 380 x 920 (h) x 360mm |
| Functioning | NON-STOP OPERATED |
| Accurancy of Vacuum Indicator | ± 5% |
| Working condition | Room temperature: 5 + 35°C Room humidity percentage: 30 ÷75°/0 RH Atmospheric pressure: 800 =1060 hPa |
| Conservation and transport condition | Room temperature: – 40 ÷70°C Room humidity percentage: 10 =100% RH Atmospheric pressure: 500 =1060 hPa |
CLEANING DEVICE
Use a soft dry cloth with not – abrasive and not – solvent detergents. To clean the device’s external parts always use a cotton cloth dampened with detergent. Don’t use abrasive or solvent detergents.
Before carrying out any cleaning and/or maintenance operation disconnect the appliance from the power supply, unplug it or turn off the switch on the device.
Particular care should be taken to ensure that the internal parts of the equipment do not get in touch with liquids. Never clean the equipment with water.
During all clearing operations use protective gloves and apron (if need be, also wear a face mask and glasses) to avoid getting in contact with contaminated substances (after each utilization cycle of the machine).
ACCESSORIES SUPPLIES
- N°2 COMPLETE ASPIRATION JAR 2000cc
- CONICAL FITTING
- SUCTION CATHETER CH20
- TUBES SET 8 mm x 14 mm
- ANTIBACTERIAL AND HYDROPHOBIC FILTER
- FOOTSWITCH CONTROL (for versions equipped with footswitch control)
- EUROPEAN POWER SUPPLY CORD (H05VV-F – 2×0.75mm² – 2mt)
On request, are available versions with disposable collection system (FLOVAC® 2000ml) composed by a reusable polycarbonate vessel and polyethylene disposable bag (collection liner for fluids suction canisters).
Anti-bacterial and hydrophobic filter: designed for the individual patient to protect patient and machine from cross-infections. Prevents the liquids, that come into contact with it, from passing through it. Replace it whenever you suspect that it may be contaminated and/or it becomes wet or discoloured. Replace the filter every time it is used if the suction pump is used on patients in unknown pathological situations and where an assessment of indirect contamination is not possible. The filter is not manufactured to be decontaminated, dismantled and/or sterilised. If, however, the patient’s pathology is known and/or there is no risk of indirect contamination, the filter should be replaced after every work shift or once a month even if the device is not used.
Suction catheter: Single-use device to be used on a single patient. Do not wash or re-sterilize after use.
Reuse may cause cross-infections. Don’t use after lapse of the sell-by date
WARNING: Suction tubes for insertion in the human body purchased separately from the machine should comply with ISO 10993-1 standards on material biocompatibility.
Aspiration jar: The mechanical resistance of the component is guaranteed up to 30 cycles of cleaning and sterilization. Beyond this limit, the physical-chemical characteristics of the plastic material may show signs of decay. Therefore, we recommend that you to change it.
Silicone tubes: the number of cycles of sterilization and/or cleaning is strictly linked to the employment of the said tube. Therefore, after each cleaning cycle, it is up to the final user to verify whether the tube is suitable for reuse. The component must be replaced if there are visible signs of decay of the material constituting the said component.
Conical fitting: the number of cycles of sterilization and the number of cleaning cycles is strictly linked to the employment of the said component. Therefore, after each cleaning cycle, it is up to the final user to verify whether the fitting is suitable for reuse. The component must be replaced if there are visible signs of decay in the material constituting the said component.
Service life of the device: More than 850 hours of operation (or 3 years) in accordance with the standard conditions of testing and operation. Shelf life: maximum 5 years from the date of manufacture.
CLEANING OF ACCESSORIES
Before using the device, the manufacturer advises you to clean and/or sterilize the accessories. Washing and / or cleaning the autoclavable jar as to be carried out as follows:
- Wear protection gloves and apron (glasses and face mask if necessary) to avoid contact with contaminating substances.
- Disconnect the tank from the device and remove the said container from the support of the device.
- Separate all the parts of the cover (overflow device, washer).
- Disconnect all tubes from the jar and the protection filter.
- Empty and dispose of the contents of the suction container (also observe regional regulations);
- Wash each part of the container from secretions under cold running water and then clean every single part in hot water (temperature not exceeding 60°C).
- Once again, carefully wash each single part using, if necessary, a non-abrasive brush to remove any deposits. Rinse with hot running water and dry all parts with a soft cloth (non-abrasive). It is possible to wash with commercial disinfectants by carefully following the instructions and dilution values supplied by the manufacturer. After cleaning, leave the parts to dry in an open, clean environment.
- Dispose of the aspiration catheter according to that provided by local laws and regulations.
Further disinfection of the jar and lid can be performed with a commercial disinfectant by carefully following the instructions and the dilution values supplied by the manufacturer. After cleaning, allow to air dry in a clean environment. The silicone aspiration tubes and the conical fitting may be carefully washed in hot water (temperature must not exceed 60°C). After cleaning, leave the parts to dry in an open, clean environment. When cleaning is complete, reassemble the container for liquid aspirations according to the following procedure:
- Place the overflow valve into its seat in the cover (under VACUUM connector).
- Insert floating valve keeping the o-ring towards the opening of the cage.
- Place the o-ring into its seat around the cover.
- After completing assembling operations always make sure that cover seals perfectly to avoid vacuum leackages or liquid exit.
The jar and the cover can be autoclaved by placing the parts into the autoclave and running one sterilization stem cycle at 121°C (1 bar relative pressure – 15 min) making sure that the jar is positioned upsidedown. Mechanical resistance of the jar is guaranteed up to 30 cycles of sterilization and cleaning at the indicated conditions (EN ISO 10079-1). Beyond this limit the physical-mechanical characteristics of the plastic may decrease and replacement of the part is therefore recommended.
After sterilization and cooling at environment temperature of the parts make sure that these are not damaged.
The aspiration tubes can be sterilized on autoclave using a sterilization cycle at 121°C (1 bar relative pressure – 15 min).
The conical connector can be sterilized on autoclave using a sterilization cycle at 121°C (1 bar relative pressure – 15 min).
Disposing of disposable bags:
If the device is fitted with FLOVAC® disposable collection systems (consisting of a rigid, reusable polycarbonate container and a single-use polyethylene collection bag), proceed with the disposal of the bag as follows:
Deactivate the suction source and remove all tubes connected to the container, paying particular attention to avoid accidental contamination. Attach the plugs to the “PATIENT” and “TANDEM” connectors by inserting them firmly, paying particular attention to avoid accidental contamination. Take the device to the waste collection area with all the openings correctly sealed, taking into consideration that the product may potentially be infected. Discard the product in compliance with the regulations in force at the hospital. The rigid, reusable container and the reusable “Male” fitting may be cleaned and disinfected using water and neutral detergents and/or sterilised in an autoclave at 121°C (relative pressure 1 bar) for 15 min. Do not use solvents or alcohol for cleaning and disinfection as these products may damage the component. The mechanical strength of the FLOVAC reusable container and of the fitting is guaranteed for up to 30 cleaning and sterilisation cycles at the specified conditions (EN ISO 10079-1). Beyond this limit, the physical and mechanical properties of the plastic may deteriorate and, therefore, replacement is recommended.
PERIODICAL MAINTENANCE CHECKS
The SUPER VEGA SUCTION ASPIRATOR does not need maintenance or lubrication. It is, however, necessary to inspect the unit before each use. With regard to training, given the information contained in the user manual and since it is easy to understand the said device, it doesn’t appear to be necessary. Unpack the instrument and always check the integrity of plastic parts and feeding cable, they might have been damaged during previous use. Connect the cable to electrical network and turn the switch on. Close the separator outlet with your finger and with suction regulator at maximum check that the vacuum indicators reaches at least -80kPa (-0.80 bar). Rotate the knob from right to left. The vacuum indicator should go down -40kPa (-0.40 bar).
Check that no loud noises are present. A protection fuses (F 1 x 1.6 A L 250V) reachable from exterior and situated in the plug protects the instrument. For fuses replacing, always the type and the range. Before changing the fuse, disconnect the plug from the power supply socket. Internally, the device (only for devices fitted with a circuit board) is protected by a fuse (T 50mA L 250V) that cannot be reached from the outside, so please contact a technician authorized by the manufacturer for its replacement.
| Fault type | Cause | Solution |
| 1.The suction unit doesn’t work | Cable is damaged External power source failure | Replace the cable Check the external power source |
| 2.No aspiration | Jar Cap not screwed on correctly | Unscrew the cap, and re-screw it |
| 3.No aspiration | Lid seal not in its seat | Unscrew the cap and insert the seal properly in its seat |
| 4.The Vacuum power on the patient side is either very low or absent | •Vacuum regulator set to minimum •Protection filter blocked or damaged •Connection tubes blocked, kinked or disconnected •Shut-off valve blocked or damaged •Pump motor damaged | •Turn the vacuum regulator clockwise and check the value of the vacuum on the gauge •Replace the filter •Replace or reconnect the tubes, check the jar connections •Empty the jar, or disconnect the tube from the jar and unblock the shut-off valve. The unit twill only work in the upright position •Refer to authorised service personnel |
| 5.The float doesn’t close | If the cap has been washed, ensure that the float is not partially detached | Fit the float into it’s place |
| 6.The float doesn’t close | The float it’s covered by dirty material | Unscrewed the cap, leave the and put in on autoclave |
| 7.Low suction | Foam inside the jar | Fill the jar to 1/3 full of ordinary water |
| 8.No aspiration due to flow leakage of mucus | Filter blocked | Replace filter |
| Faults 1 – 2 – 3 – 4 – 5 – 6 – 7 – 8 | None of the procedures have achieved the desired results | Contact GIMA customer service |
If the overfill security system it’s activated, don’t proceede with the liquid aspiration. If the overfill security system doesn’t work there are two cases:
1° case – If the overfill security system doesn’t work the aspiration will be stopped by the bacteriological filter who avoid the liquid penetration inside the device.
2° case – If both the security system doesn’t work, there is the possibility that liquid comes inside the device, in this case return the device to GIMA technical service.
Gima S.p.A. will provide upon request electric diagrams, components list, descriptions, setting instructions and any other information that can help the technical assistance staff for product repair.
BEFORE EVERY CHECKING OPERATION, IN CASE OF ANOMALIES OR BAD FUNCTIONING, PLEASE CONTACT GIMA TECHNICAL SERVICE. GIMA DOES NOT GIVE A GUARANTEE IF THE INSTRUMENT, AFTER THE TECHNICAL SERVICE CHECKING, APPEARS TO HAVE TAMPERED.
INSTRUCTION FOR USE
Assembly of the device SUPER VEGA SUCTION ASPIRATOR: Take the 5 arm base and set up the 5 wheels that come with the above device. The wheels provided with braking device must be placed one next to the order. Take the support bar that comes with the device SUPER VEGA SUCTION ASPIRATOR and place it in the hole on the 5-arm base. From under the base, lock the two parts by means of the supplied screw. Eventually, place the device on the trolley.
- The device must be checked before each use in order to detect malfunctions and/or damage caused by transport and/or storage.
- The working position must be such as to allow one to reach the control panel and to have a good view of the empty indicator, the jar and the antibacterial filter.
- If the device is to be transported from one place to another, to prevent the liquid collection jar from falling and consequently the liquid from spilling, removing the jar from the device is recommended.
WARNING: For proper use, place the aspirator on a flat, stable surface, in order to have the full volume of use of the jar and better efficiency of the overflow device. The vacuum jar, during use, must be used in vertical mode, to prevent the action of the backflow valve. If this protection is triggered, turn the device off and disconnect the pipe connected to the vacuum jar (indicated with the word VACUUM) on its cover.
- Connect one end of the short silicon tube, with antibacterial filter, to the suction connector on the lid of the jar.
- The other tube, connected to the filter on one end, must be attached to the connector on the flask cover to which the float is secured inside. (overflow device). The overflow device starts working (the float closes the connector on the cover) when the maximum volume of liquid is reached, so no liquid can enter the machine (90% of the flask’s total volume), thus ensuring that the liquid cannot penetrate inside the machine. The device must be used on a flat work top.
WARNING: Ensure that the FLUID SIDE or IN marker on the filter is on the side facing the collection jar lid and fitted into the “VACUUM”. A wrong connection causes immediate destruction in case of contact with sucked liquids.
Filter assembling

Make sure the filter is assembled with the arrows on the side of the patient.
WARNING: The inside of the medical device must be regularly checked for the presence of liquids or other visible contamination (secretions). In the presence of liquids or other visible contamination, immediately replace the medical device due to the risk of an insufficient vacuum flow rate.
These products have been designed, tested and manufactured exclusively for single patient use and for a period no longer than 24 hours.
- Connect the long silicone tube to the “PATIENT” jar outlet
- Connect the other end of the long silicon tube to the probe plastic connector, then connect the suction probe to it.
- Connect the power cord to the device then connect the plug to the electrical mains supply.
- Push switch on position ON/OFF to start suction.
- Unscrew the lid of the jar and fill the jar 1/3 full or ordinary water (this assists the unit to reach peak vacuum performance and makes clean-up easier) then re-screw the lid on the jar correctly.
- During operation the jar has to be in vertical position to avoid overflow valve to cut off aspiration. Should this happen, switch off the device and disconnect the tube from the jar cover (from “VACUUM” outlet).
- Once finished push switch on ON/OFF position and unplug.
- Remove the accessories and clean.
- At the end of each use, place the device in its box away from dust.
WARNING: The power supply cable plug is the element of separation from the electrical mains system: even if the units equipped with a special on / off switch button, the power supply plug must be kept accessible once the device is in use so as to allow a further method of disconnection from the mains supply system.

WARNING: NEVER USE THE DEVICE WITHOUT JAR AND / OR PROTECTION FILTER KEEP OFF THE REACH OF CHILDREN OR NOT CAPABLE PEOPLE WITHOUT SUPERVISION
Footswitch control device:
The equipment, on request, is provided with a footswitch control device. It allows the continued use of the surgical aspirator. In this case, the plug of the footswitch device shall be inserted into the appropriate socket outlet placed on the back side of the equipment.
![]() | Near the footswitch control plug, there is a commutator that operates the device directly using the mains or by using the footswitch control. When the switch is turned on (green light) and the commutator is in position I, the device works directly using the mains. When the switch is turned on (green light) and the commutator is in position II, the device works via remote control (footswitch control). When the switch is turned on (green light) and the commutator is in position 0, the device is powered but not in operation. |
Using the footswitch control and the flow deviator:
If using equipment fitted with a flow deviator, users may direct suctioned liquids in any of the two collection tanks provided. Flow deviator comes with two complete suction kits (2 sets of tubes, 2 antibacterial and hydrophobic filters and two conical junctions).
WARNING: NEVER USE THE DEVICE WITHOUT JAR AND / OR PROTECTION FILTER
Using FLOVAC® disposable collection system:
Before connecting the disposable collection system, remove the blue ring fitted on the tank holder for a more comfortable insertion of the same container.
– After opening the package, fully stretch the bag and then flatten it concentrically to eliminate as much air as possible.
– Insert the bag and apply the cover to an appropriately sized reusable rigid container by pressing firmly around the entire perimeter. Make sure that the system is completely sealed.
– Close the connector marked as “TANDEM” with the lid provided.
– Connect the power source of the vacuum to the VACUUM port equipped with specific reusable conical fitting with “male” connection.
– Connect the patient tube to the PATIENT port of the cover.
– Before use, check all closures and make sure there are no leaks, starting the aspiration source. If the bag expands to fully adhere to the walls of the rigid container and the cover bends towards the inside of the glass, the system is not leaking.
– Start the aspiration and periodically check the filling level of the container. The overflow valve will cause the interruption of aspiration if the aspirated fluids have reached the maximum filling level of the device.
– When the float valve intervenes signalling the device is too full, the suction source must be disconnected within no more than 5 minutes.
Warning: The accidental inversion of connections may cause contamination for the operator and/or for the vacuum generation equipment.
RISK OF ELECTROMAGNETIC INTERFERENCE AND POSSIBLE REMEDIES
This section contains information regarding the conformity of the compliance with the EN 60601-1-2 (2015) Standard. The SUPER VEGA SUCTION ASPIRATOR is an electro-medical device that requires particular precautions regarding electromagnetic compatibility and which must be installed and commissioned ac- cording to the electromagnetic compatibility information supplied. Portable and mobile radio communication devices (mobile phones, transceivers, etc.) may interfere with the medical device and should not be used in close proximity with, adjacent to, or on top of the medical device. If such use is necessary and unavoidable, special precautions should be taken so that the electro-medical device functions properly in its intended operating configuration (for example, constantly and visually checking for the absence of anomalies or malfunctions). The use of accessories, transducers, and cables different to those specified, with the exception of transducers and cables sold by the appliance and system manufacturer as spare parts, can lead to an increase in emissions or in a decrease of the immunity of the device or system. The following tables supply information regarding the EMC (Electromagnetic Compatibility) characteristics of the electro-medical device.
| Guidance and manufacturer’s declaration — electromagnetic Emissions | ||
| The SUPER VEGA SUCTION ASPIRATOR is intended for use in the electromagnetic environment specified below. The customers or the user of the SUPER VEGA SUCTION ASPIRATOR should assure that it’s used in such an environment. | ||
| Emissions test | Compliance | Electromagnetic environment – guidance |
| Irradiated / Conducted emissions CISPR11 | Group 1 | The SUPER VEGA SUCTION ASPIRATOR only used RF energy only for its internal functioning. Therefore, its RF emissions are very low and are not cause interference in proximity of any Electronic appliances. |
| Irradiated / Conducted emissions CISPR11 | Class [B] | The SUPER VEGA SUCTION ASPIRATOR can be used in all en-vironments, including domestic and those connected directly to the public mains distribution that supplies power to environments used for domestic scopes. |
| Harmonic emissions EN 61000-3-2 | Class [A] | |
| Voltage fluctuations / flicker emissions EN 61000-3-3 | Complies | |
| Guidance and manufacturer’s declaration — Immunity Emissions | |||
| The SUPER VEGA SUCTION ASPIRATOR is intended for use in the electromagnetic environment specified below. The customers or the user of the SUPER VEGA SUCTION ASPIRATOR should assure that it’s used in such an environment. | |||
| Immunity Test | Level indicated by the EN 60601-1-2 | Compliance Level | Electromagnetic environment – guidance |
| Electrostatic discharge (ESD) EN 61000-4-2 | +/-8kV on contact +/-15kV in air | The device doesn’t change its state | Floors should be wood, concrete or ceramic tile. If floors are covered with synthetic ma-terial, the relative humidity should be at least 30%. |
| Electrical fast transient / burst EN 61000-4-4 | ± 2kV power supply lines ± 1 kV for input / output lines | The device doesn’t change its state | Mains power quality should be that of a typical commercial environment or hospital. |
| Surge EN 61000-4-5 | ± 1 kV differential mode +/-2 kV ordinary mode | The device doesn’t change its state | Mains power quality should be that of a typical commercial environment or hospital. |
| Loss of voltage, brief voltage interruptions and variations EN 61000-4-11 | <5% UT (>95% dip UT) for 0,5 cycle 40 % UT (60% dip UT) for 5 cycle 70 % UT (30% dip UT) for 25 cycle <5 % UT (>95% dip UT) for 5 sec | – – | Mains power quality should be that of a typical commercial environment or hospital If the user of the SUPER VEGA SUCTION ASPIRATOR request that the appliance operates continuously, the use of a continuity unit is recommended. |
| Magnetic field with network frequency (50/60 HZ) EN 61000-4-8 | 30A/m | The device doesn’t change its state | The power frequency magnetic field should be measured in the intended installation location to make sure that it’s sufficiently low. |
| Note UT is the value of the power supply voltage | |||
| Guidance and manufacturer’s declaration — Immunity Emissions | |||
| The SUPER VEGA SUCTION ASPIRATOR ‘s intended for use ‘n the electromagnetic environment specified below. The customers or the user of the SUPER VEGA SUCTION ASPIRATOR should assure that it’s used in such an environment. | |||
| Immunity Test | Level indicated by the EN 60601-1-2 | Compliance Level | Electromagnetic environment – guidance |
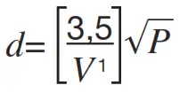
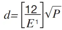
| Conducted Immunity EN 61000-4-6 Radiated Immunity EN 61000-4-3 | 3Vrms 150kHz to 80Mhz (for non life-supporting devices) 10V/m 80MHz to 2.7GHz (for non life-supporting devices) | V1 = 3 V rms El =10 V / m | The portable and mobile RF communication devices, including cables, must not be used closer to the SUPER VEGA device, than the separation distance calculated by the equation applicable to the transmitter frequency. Recommended separation distance |
![]() Where P is the maximum nominal output voltage of the transmitter in Watt (W) depending on the manufacturer of the transmitter and the recommended separation distance in metres (m). The intensity of the field from the fixed RF transmitters, as determined by an electromagnetic study of the site’), could be lower than the level of conformity of each frequency interval b). It is possible to check for interference in proximity to devices identified by the fol- lowing symbol: A
| |||
| Note 1: At 80 MHz and 800 MHz the interval with the highest frequency is applied. Note 2: These guide lines may not be applicable in all situations. The electro-magnetic propagation is influenced by the absorption and by reflection from buildings, objects and people. | |||
| a)The field intensity for fixed transmitters such as the base stations for radiotelephones (mobile and cordless) and terrestrial mobile radio, amateur radio devices, radio AM and FM transmitters and TV transmitters can not be theoretically and accurately foreseen. To establish an electro-magnetic environment generated by fixed RF transmitters, an electro-magnetic study of the site should be considered. If the field intensity measured in the place where the device will be used surpasses the above mentioned applicable level of conformity, the normal functioning of the device should be monitored. If abnormal performance arises, additional measures such as changing the device’s direction or positioning may be necessary. b)The field intensity on an interval frequency of 150 kHz to 80 MHz should be less than 10 V/m. | |||
| Recommended separation distance between portable and mobile radio-communication devices and the monitor | |||
| The SUPER VEGA 36 surgical aspirator is intended to operate in an electro-magnetic environment where RF irradiated interferences are under control. The client or operator of the SUPER VEGA 36 device can help prevent electro-magnetic interference by keeping a minimum distance between the portable and mobile RF communication devices (transmitters) and the SUPER VEGA 36 device, as recommended below, in relation to the radio-communication maximum output power. | |||
| Maximum nominal output power of the Transmitter W | Separation distance from the frequency transmitter (m) | ||
150KHz to 80MHz![]() | 80MHz to 800MHz![]() | 800MHz to 2,7GHz | |
![]() | |||
| 0,01 | 0,12 | 0,12 | 0,23 |
| 0,1 | 0,38 | 0,38 | 0,73 |
| 1 | 1,2 | 1,2 | 2,3 |
| 10 | 3,8 | 3,8 | 7,3 |
| 100 | 12 | 12 | 23 |
For transmitters with a maximum nominal output power not shown above, the recommended separation distance in metres (m) can be calculated using the equation applicable to the transmitter frequency, where P is the maximum nominal output power of the transmitter in Watt (W) depending on the transmitter’s manufacturer.
Note 1: At 80 MHz and 800 MHz the interval with the highest frequency is applied.
Note 2: These guidelines may not be applicable in all situations. The electromagnetic propagation is influenced by absorption and by the reflection from buildings, objects, and people.
SYMBOLS

The technical specifications may change without notice

Disposal: The product must not be disposed of along with other domestic waste. The users must dispose of this equipment by bringing it to a specific recycling point for electric and electronic equipment.
GIMA WARRANTY TERMS
The Gima 12-month standard B2B warranty applies.
28191 – 28192
Gima S.p.A.
Via Marconi, 1 – 20060 Gessate (MI) Italy
[email protected] – [email protected]
www.gimaitaly.com
Made in Italy


























