Honeywell T140 Digital Thermostat User Guide
![]()
Installation
Must be installed by a competent person. To ensure your safety, make sure the mains power is switched OFF before accessing wiring.
Guidelines


- Loosen the captive screw holding the faceplate to the mounting plate.
- Pull the lower part of the faceplate to remove it from the mounting plate.
- Loosen the screw (captive) holding the wire cover and remove the wire cover.
- Pull wires through the hole in the mounting plate and secure the mounting plate to the wall (or onto an electrical box for line voltage wiring) using the enclosed wall anchors and screws.
- Wire the thermostat to the heating system and, if necessary, connect the remote input.
- Once wiring is complete, re-install the wire cover.
- Use the switches located at the back of the faceplate to configure your thermostat according to your application.
- Install the batteries.
- Mount the faceplate on the mounting plate and tighten the screw.
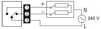
Thermostat Wiring
For a 2-wire connection: no polarity.
Direct wiring to the circulator

Connection to the thermostat terminals of a furnace

For a 3-wire connection: observe the polarity
Wiring to a power-operated mixing control valve

Remote Input Wiring
The thermostat is equipped with a remote input which allows connection of a telephone controller or a home automation system. When a signal is received through this input, the thermostat will automatically switch from normal operating mode to Vacation mode. For details on operating the telephone controller, refer to the instruction manual.
Connection to telephone controller or a home automation system

Configure the Thermostat
The switches are located on the back of the faceplate. Default settings are highlighted.

- If you change from °C to °F (or vice versa), you will need to reprogramyour Comfort, Economy and Vacation settings.
- For hot water installations, it is recommended to enable this option to activate the pump for one minute every 24 hours to prevent pump seizure.
Proportional Adaptive Mode (switch #5)
This mode analyzes previous cycles to define the the next duty cycle. This control mode guarantees optimal temperature control based on the system’s capacity. To extend the life of the system, a minimum On/Off time of 10% of the cycle has been implemented.
Ideal for:
- Radiant or convection electrical heating system
- Circulator control in a hot water system
- Electrical hot-air furnace
- Conventional gas or fuel hot-air furnace
Heating Cycle Selection (switches #1 and #2)
Select the cycle using switches #1 and #2. Short cycles help eliminate temperature variations, thus increasing user comfort.

Conventional mode with anticipation (switch #5)
This mode is compatible with all heating systems.
Programmable Span Selection (switches #1 and #2)
Select the span using switches #1 and #2. The default temperature span is 0.5°C. For example, if the temperature setpoint is 20°C, the heating system will turn on at 19.5°C and turn off at 20.5°C.

Install the Batteries
When you first install the batteries, the unit runs a sequence of tests and a complete reset to zero. The screen should display 0:00 MOJ and the ambient temperature. The current setpoint is 20°C.
Replacing the batteries
The thermostat will display an icon indicating that the batteries must be replaced. This icon will be displayed for 60 days; after this delay, the thermostat will shut down the heating unit. The time and programming are saved for 15 seconds when replacing the batteries.
Basic Configuration
Set the Time and Day
- Set the time, using the Hour and Minute buttons.
- Set the day, using the Day button.
Configure the Setpoints
Comfort and Economy
These setpoints are associated to the schedule’s programs and are pre-programmed as follows:
Comfort
20°C (68°F) Programs 1 and 3
Economy
18°C (64°F) Programs 2 and 4
Vacation
This pre-programmed setpoint is used when the Vacation mode is activated.
Vacation
10°C (50°F)
To Modify a Setpoint
- Set the temperature using
. - Press and hold one of the setpoint buttons (
or
or
) until the icon is displayed on the screen (approx. 3 seconds).
View the Current Setpoint
To view the current setpoint, quickly press once one of the arrow buttons
.
The screen displays the setpoint; the arrow indicates a setpoint.
Select the Operating Mode
Automatic 

This mode executes the schedule. To activate:
- Press Manual/Auto until
is displayed. The program setpoint icon is displayed.
Temporary Bypass
When in Automatic mode, you can temporarily bypass the current program setpoint until the beginning of the next program. To bypass:
- Set the desired temperature
OR quickly press
or
to use a pre-defined setpoint.
Manual 

This mode allows you to maintain a constant temperature.
- Press Manual/Auto until is displayed.
- Set temperature
OR quickly press
or
to use a pre-defined setpoint.
Vacation

Maintains a specific temperature when away for a prolonged absence (e.g. vacation).
- From the thermostat, quickly press to activate.
Program Your Schedule
The thermostat allows four setting changes for each day of the week. There are no pre-set programs. Your heating system switches betwwen the Comfort setpoint and the Economy setpoint according to the times you would have set.

Set or Modify the Programs
- Press Program. The screen displays MO and PROG 1.
- Press Day to select the day (hold for 3 seconds to select all days of the week).
- Press Hour and Minute to set the start time. To clear an entry, press Clear, the time zone displays –:– when the program is inactive.
- Press Program to select the program number (2, 3 or 4).
- Repeat steps 3 and 4 for remaining programs. 6 Press Manual/Auto to exit.
To erase program for desired day:
- Press Program until desired program is selected.
- Press Day to select desired day.
- Press Clear to erase the time (–:–).
- Press Manual/Auto to exit.
Technical Specifications
Power supply: 2 AA or LR6 alkaline batteries 1.5 V
Max. resistive load: 5 A @ 240 VAC / 5 A @ 30 VDC
Max. inductive load: 2 A @ 240 VAC / 2 A @ 30 VDC (P.F. = 0.4)
Remote input: 12 VDC, ± 10%, 2.5 mA
Certifications: CE, c UL us
Control device: Electronic
Automatic action: Type 1 B
Number of programs: 4 programs / day, total of 28 programs
Storage temperature: -20°C to 50°C (-4°F to 122°F)
Operating temperature: 0°C to 50°C (32°F to 122°F), 95% R.H.
Temperature setting range: 5°C to 30°C (40°F to 85°F)
Temperature display resolution: 0.1 degree
Temperature reading accuracy: ± 0.5°C (± 0.9°F)
Software: Class A
Protection class: II
Protection degree: IP 40
The terminals are designed to handle a cross-section of wire measuring up to 2.5 mm2 (14 AWG).
Bk-electronic GmbH
Hardhofweg
40 74821 Mosbach
Germany
For assistance with this product please visit
livewell.honeywellhome.com

© 2019 Resideo Technologies, Inc.
This product manufactured by Resideo and its affiliates.
The Honeywell Home trademark is used under license from Honeywell International Inc. All rights reserved.
33-00057ED-02
Install the Batteries


















