STABILA LA 180L Layout Station Multi Lines Self Leveling Fully Automatic

Product Information
The LA 180L Multi-Line Laser is a precision instrument designed for use on construction sites. It is equipped with a Class 2 laser that emits horizontal and vertical laser lines for accurate alignment and leveling. The unit has an IP54 rating, making it resistant to dust and water splashes. It also features a shock protection system that prevents damage from accidental drops and impacts. The laser comes with a battery compartment that holds the required batteries, and a threaded connector for tripod attachment. The unit has a selector switch with an on/off button, automatic leveling on/off button, horizontal line on/off button, and vertical lines on/off button. The operating mode can be switched to without leveling function by turning off the automatic leveling function, where the laser lines flash at a rapid frequency. The unit also comes with LEDs for displaying operating mode ON or READY/OK, battery voltage, and overheating. The LA 180L Multi-Line Laser comes with a REC 410 Line RF receiver and a fine adjustment screw that enables precise alignment of the vertical laser lines. The laser is inclined too much when it is outside the self-leveling range, and the laser cannot level itself automatically. The unit is perfectly adjusted when it leaves the factory, but its calibration must be regularly checked before starting any new tasks.
Product Usage Instructions
To use the LA 180L Multi-Line Laser:
- Insert the required batteries into the battery compartment.
- Attach the laser to a tripod using the threaded connector. Turn on the unit using the on/off button.
- Set up a reference mark for vertical accuracy check by fastening a plumbline near the D1 wall.
- Set up the laser unit in front of the reference mark at a distance of Y and compare the vertical laser line with it.
- The discrepancy between the center of the laser line of the multi-line laser and the reference mark should be no greater than 1 mm / 3/64 from the reference mark over a length of 2.8 m / 11 ft. This vertical check should be undertaken separately for all vertical laser lines.
- For fine adjustment, use the adjusting screw or REC 410 Line RF receiver to align the vertical laser lines precisely with a reference line.
- To operate without leveling function, turn off the automatic leveling function by pressing the corresponding button. The laser lines will flash at a rapid frequency.
- The unit should be checked for calibration regularly, particularly when it has been exposed to strong vibrations. After an impact, the unit should be checked throughout its whole self-leveling range.
For technical questions and concerns, please contact the manufacturer’s customer service hotline at +49 / 63 46 / 3 09 – 0 or 1.800.869.7460 (U.S. and Canada).
Note: In Class 2 laser equipment, your eyes are normally protected from accidental, short-term exposure to the laser beam by the lid-closing reflex and/or the reflex reaction to turn one’s head. If a laser beam should encounter your eye, you should consciously close your eyes. Recycling program for EU customers: In accordance with the WEEE regulations, STABILA provides a disposal program for electronic products at the end of their service life. For more details, please contact +49 / 6346 / 309 – 0.
Operating instructions
The STABILA LA 180L instruments are easy-to-use multi-line lasers. They are self-leveling within the range of ± 5° and enable the user to level quickly and precisely. The vertically and horizontally projected laser lines provide exact alignment/working. The LA 180L has a motorized fine adjustment facility for 90° angle positioning. The pulsed laser lines allow the instrument to operate over long distances using a special line receiver (-> see Operating Manual, Line Receiver) We have endeavoured to explain the unit‘s handling and functioning in as clear and comprehensible manner as possible. If you have any technical questions, you can contact us at any time.
Telephone number:
+49 / 63 46 / 3 09 – 0 1.800.869.7460 U.S. and Canada
Main components
![]()
- Selector switch:
- On/off button
- Button: automatic leveling on / off – manual mode
- Button: horizontal line on/off
- Button: vertical lines on/off
- LEDs for displaying:
- LED green: Operating mode ON or READY / OK
- LED red: battery voltage and overheat
- Exit aperture for the horizontal and vertical laser lines

- (3b)Exit aperture for vertical beam
- (4) Battery compartment
- Upper part
- Adjusting screw: precision adjustment to alignment of vertical laser lines Shock protection
- 5/8“ threaded connector for the tripod
- REC 410 Line RF receiver
Recycling program for our EU customers:
In accordance with the WEEE regulations, STABILA provides a disposal program for electronic products at the end of their service life. For more details, please contact: +49 / 6346 / 309 – 0
NB:
In Class 2 laser equipment, your eyes are normally protected from accidental, short-term exposure to the laser beam by the lid-closing reflex and/or the reflex reaction to turn one‘s head. If a laser beam should encounter your eye, you should consciously close your eyes and immediately move your head out of the beam. Do not look directly into the direct or reflected beam. The laser goggles enclosed with these units are not safety goggles. They are designed to make the laser beam easier to see. The use of operating and adjustment equipment other than that indicated here or the use of other procedures can lead to dangerous exposure to radiation. Alterations ( manipulation ) to the laser instrument by the customer are not permitted. These Operating Instructions must be retained and passed to the next user of the laser instrument. Do not direct the laser beam at people. Do not let the unit fall into children‘s hands.
Main applications
Operating modes
The LA 180L can be used in 2 operating modes:
- as a self-leveling line laser
- for horizontal leveling
- for vertical alignments
- for plumb-lining
- for constructing 90° angles
- as a laser instrument for marking applications without the leveling function.
Operating mode with self-leveling Commissioning
The instrument is turned on with the on/off switch (1a). Vertical laser lines and a plumb point appear after switching on. However, if only the horizontal line was on just prior to the last time the instrument was switched off, the horizontal laser line will appear when the instrument is turned on. The laser is automatically aligning itself all the while the laser lines are flashing ( < 15 seconds). Flashing frequency: slowly
Setting the type of line:
![]()
Button (1c): switches the horizontal laser line on/off. The horizontal laser line can only be switched off if at least one vertical laser line is switched on. The horizontal laser line can be used, for example, for leveling over long distances or for the horizontal alignment of building components and members.
Button (1d): different vertical laser lines can be switched on / off in succession. The plumb-line point is also switched on / off at the same time. All the vertical laser lines can only be switched off if the horizontal laser line is switched on.
If button 1d is pressed again, the vertical laser lines are switched on again in their last configuration. Single vertical laser lines can be used, for example, for marking out vertical planes or aligning vertical building components or members. If the inclination is too great the laser and the LED display flash (green)! laser beam flashing-> The unit is inclined too much
- is outside the self-leveling range
- the laser cannot level itself automatically
Plumb-lining:
As described in “Setting the Type of Line“, at least 2 vertical lines at an angle of 90° to each other are switched on. These two lines intersect above the plumb point below so that the plumb points can be transferred from the floor to the ceiling.
Constructing 90° angles:
As described in “Setting the Type of Line“, at least 2 vertical lines at an angle of 90° to each other are switched on.. This 90° angle can, for instance, be used to check 90° angles or align-items at a right angle to each other.
The fine adjustment facility described below makes this work significantly easier.
Fine adjustment
Using the adjusting screw, the upper part can be rotated through ± 5° around its vertical axis, enabling a vertical laser line to be aligned precisely with a reference line. With the LA-180L, the fine adjustment procedure can also be undertaken using the receiver.
Operating mode without leveling function.
Button (1b): the leveling function is switched off. In this mode, the laser lines flash.
Flashing frequency: rapid
Checking the calibration
The LA180L multi-line laser was designed for use on construction sites and was perfectly adjusted when it left our factory. As with any precision instrument, however, its calibration must be regularly checked. The unit should be checked before starting any new tasks, particularly when the unit has been exposed to strong vibrations. After an impact, the unit should be checked throughout its whole self-leveling range.
Vertical check
1. Vertical accuracy check
You must create a reference to perform this test. Fasten a plumbline near the wall.
The laser unit should now be set up in front of this reference
mark(distance Y) and the vertical laser line compared with it. The discrepancy between the center of the laser line of the multi-line laser and the reference mark should be no greater than 1 mm / 3/64“ from the reference mark over a length of 2.8 m / 11 ft.
This vertical check should be undertaken separately for all vertical laser lines.
Checking plumb-lining
- Set up the instrument

- Switch on the instrument – button (1a)
- Switch on the vertical laser lines – button (1d)
- Place the laser so that its down beam is aligned over
- reference mark on the floor.
- Mark the position of the laser cross on the ceiling.
- Rotate the laser through 180° and realign the laser beam on the reference mark on the floor.

- Mark the position of the laser cross on the ceiling.
- Measure the differences in the x and y directions between the two marks on the ceiling. The difference is twice the actual error. In each case, the difference may not be greater than 4 mm in 6 m / 5/64“ in 10 ft .
Checking the angular accuracy of the vertical lines:
checking the 90° angle of the vertical lines. Checking 90° angle I
- Choose a room that is at least 10 m ( 32‘10“ ) long. At one end mark point „A“ on the floor.

- Align the laser with its plumb-line beam directly over point „A“. Ensure that laser line 1 can be seen at the opposite end of the room.
- At about the middle of the room mark point „B“ on the floor.
- Mark point „C“ on the opposite wall or on the floor.
- Move the LA-90L ( LA-180L ) to point B and realign laser line 1 on point „C“.

- Mark position „D“ of the right-angle laser line 2 on the floor.
- Note: In order to guarantee the accuracy, the distance of „A“ to „B“, „B“ to „C“ and „B“ to „D“ should be equal.
- Rotate the LA-90L ( LA-180L ) through 90° so that laser line 1 is aligned with point „D“.

- Mark position „E“ of the right-angle laser line 2 as close as possible to point „A“ on the floor.
- Measure the distance between points „A“ and „E“.

90° angle II is checked using the same method but using only laser lines 2 and 3.
Horizontal checking
Horizontal checking – Line level
Two parallel wall surfaces at least 5m /16‘5“ apart are required for the horizontal check.
![]()
- Place the LA180L on a smooth surface or on a tripod as close as possible to wall A and with the front side pointing towards the wall
- Switch the unit on – button (1a)
- Switch on the horizontal laser line – button (1c)
- Switch on the vertical laser lines – button (1d)
- Mark the position of the visible laser line cross on wall A (point 1).
- Turn the complete unit 180° without altering the height of the laser.
- Mark the position of the visible laser line cross on wall B (point 2).

- Now move the unit directly in front of wall B.
- Set the unit‘s height so that the laser dot‘s height matches that of point 2.

- Without changing the height of the laser, rotate it 180° to place the beam near the mark on the first wall (step 3 / point 1 ).

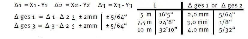
Measure the vertical distance between point 1 and point 3. The difference must not be greater than:
Horizontal checking – the inclination of the laser line
Check the laser line for inclination and perfectly straight projection
- Mark three points (1, 2, and 3) on the floor at a distance of 5 m /16’5” from each other; the points must be in a perfectly straight line.

- Position the laser at a distance S = 5 m / 16‘5“ from the line and exactly in front of the middle point you marked = position X
- Switch the unit on – button (1a)
- Switch on the horizontal laser line – button (1c)
- Measure the height of the laser line at the points. Measurements X1 – X3
- Reposition the instrument.

- Position the laser at a distance S = 5 m / 16‘5“ from the line and exactly in front of the middle point you marked = position Y
- Measure the height of the laser line at the points. Measurements Y1-Y3

LA-180L:
Registering the REC 410 Line RF receiver with the laser transmitter :
![]()
- Switch off the laser transmitter (button 1a)
- Press and hold down buttons (1c) and (1d).
- Switch the unit on – button (1a)
- The laser transmitter is in registration mode. The LEDs (red and green) flash alternately.
- Press the button “automatic precision alignment“ (d) on the REC 410 Line RF receiver.
- The red and green LEDs on the laser transmitter will flash 3 times for 3 seconds: -> Registration was successfully completed.
Replacing the batteries
Open the battery compartment (4) by moving it in the direction of the arrow. Insert new batteries following the instructions in the battery compartment.
Operating status display and error messages via the LEDs

Care and maintenance
- Dirty lens glass on the beam emitter detracts from the quality of the beam. It should be cleaned with a soft cloth.
- Clean the laser unit with a damp cloth. Do not spray or immerse the unit! Do not use solvents or thinners! The LA180L multi-line laser must be handled carefully, in the same way as any precision optical instrument.
Technical data
- Laser type: line: Red diode laser, pulsed line-laser wavelength 630- 660 nm
- Laser-type plumb-line point: wavelength 650- 660 nm
- Output: < 1 mW, Laser Class 2
This product complies with 21 CFR parts 1040.10 and 1040.11.
- STABILA Messgeräte
- Gustav Ullrich GmbH
- Landauer Str. 45
- 76855 Annweiler
- Germany
- www.stabila.com.





























