013696
Instruction Manual
FEVER THERMOMETER
OPERATING INSTRUCTIONS
Important! Read the user instructions carefully before use. Save them for future reference. (Translation of the original instructions).
![]() | ![]() |
![]() | ![]() |
SAFETY INSTRUCTIONS
Read these instructions carefully before use, and save them for future reference.
- The product is only intended for household use.
- The product cannot replace consultation with a doctor. Consult a doctor if you need to interpret the readings or are concerned about your health status.
- The product can be used irrespective of the age or gender of the user.
- Always fit a new, clean probe cover before each measurement to reduce the risk of error.
- Do not expose the product to temperatures below —25°C or more than 55°C, or to humidity higher than 95% RH
- Only use probe covers supplied or recommended by the manufacturer.
- Store batteries out of the reach of children.
- Remove the batteries if the product is not going to be used for some time.
- Do not allow children to clean or maintain the fever thermometer without supervision — it contains small parts that can be swallowed.
- Never attempt to dismantle or modify the product in any way.
- Strong electromagnetic fields can interfere with the functionality of the fever thermometer. Special conditions concerning electromagnetic interference must be complied with, see section “Electromagnetic compatibility”.
- The fever thermometer is not intended to be used in an atmosphere with high oxygen content or an environment where flammable mixtures of anesthesia gas and air, oxygen or nitrous oxide (laughing gas) can be present.
ELECTROMAGNETIC COMPATIBILITY
WARNING!
- The product must not be used near or on top of other electronic equipment, such as mobile phones, communication radio equipment or radio control equipment. If the product must be used near or on top of other electronic equipment it must be monitored so that normal operation can be guaranteed in the configuration in which it is used.
- The use of spare parts, accessories, or cords other than those recommended or sold by the manufacturer can increase the electromagnetic radiation of the product or reduce its electromagnetic immunity.
SYMBOLS
| Read the instructions. | |
![]() | Approved in accordance with the relevant directives. |
![]() | Recycle discarded products in accordance with local regulations. |
| European representative. | |
| Direct voltage. | |
| Batch code. | |
![]() | Manufacturer. |
| Transport and storage temperature: —25 to 55°C (-13 to 131°F). | |
| BF type, patent applied for part. |
TECHNICAL DATA
| Measuring time | Approx. 1 second |
| Battery | 2 x 1.5V AM (LR03) |
| Battery time | Approx. 1 year or 6000 measurements |
| Size | L15.5 x W3.9 x H5.0 cm |
| Weight | Approx. 83 g |
The product complies with requirements in MDD 93/42/EEC, approved by notified body no. 0197.
Manufacturer
Joytech HEALTHCARE Co., Ltd. No.365, Wuzhou Road, Yuhang Economic Development Zone, Hangzhou City, 311100 Zhejiang, China Telephone no: +86-571-81957767 Fax: +86-571-81957750
European representative
Shanghai International Holding Corp. GmbH (Europe), Eiffestrasse 80, 20537 Hamburg, Germany.
DESCRIPTION
The fever thermometer is an IR thermometer intended for measuring body temperature in the auditory canal through the detection of the IR radiation emitted from the eardrum. The fever thermometer converts the measured IR radiation intensity to a temperature value, which is shown on the display. The correct use of the fever thermometer quickly gives an accurate body temperature value. The fever thermometer is intended for intermittent body temperature measuring people of all ages.
PARTS
- Probe
- Display (LCD)
- Start button
- Power switch
- Settings button
- Battery cover
- Probe cover
FIG. 55
DISPLAY
- Object temperature measuring
- Body temperature measuring in ear
- Probe cover symbol
- Time and date
- AM/PM indicator for time
- Low battery level indicator
- Memory mode
- Unit: °C or °F
- Fever indicator
- Reading
FIG. 56
FUNCTIONS
- Clock with time reading.
— The time and dates of the temperature measurements in the memory make it easier to follow the body temperature curve.
— Set the clock as per the instructions in the section “Setting the time and date” before using the product. - Body temperature measuring in ear.
— The product is only intended to be used as a practical aid. It cannot replace consultation with a doctor. Always compare the readings with your normal body temperature.
— See the instructions for body temperature measuring in the section “How to use”. - Probe cover detection and removal.
— The product can be used with or without the probe cover. The probe cover is removed with the release button. - Object temperature measuring. – In object temperature measuring mode there is no correction of the measured temperature as in the case of body temperature measuring in the auditory canal, the actual measured surface temperature is shown instead. This temperature measuring mode can be used to check that the object, preparation, etc. has a suitable temperature, for example, that milk has the right temperature for a baby. – See the instructions for object temperature measuring in the section “How to use”.
- Audio alarm.
– If a temperature higher than 378°C (100.0 °F) is detected in body temperature measuring mode the product gives a fever alarm in the form of an audio prompt with one long and three short beeps. - Readings memory.
— Up to 10 body and object temperature measurements can be saved in the memory.
— The measurements are saved with time and date markings. - °C and °F switch.
— Instructions to switch between displaying in degrees Celsius and degrees Fahrenheit are given in the section “Selection of temperature unit”.
ADVANTAGES OF EAR THERMOMETERS
Measuring of the eardrum temperature with IR technology gives a reliable value of the temperature of the body’s vital organs, see figure 1. The temperature of the eardrum is close to the inner body temperature since the eardrum is located in the cranium and is not
affected by the thermal environment. The eardrum shares its blood supply with the hypothalamus (a region in the brain). Changes to the inner body temperature are therefore reflected more quickly in the ear than in other accessible parts of the body.
1. Vital organ
FIG. 57
Clinical studies have shown that the ear is an excellent measuring point for body temperature since the temperature in the ear follows the inner body temperature very closely. Adjustment of body temperature takes place in the hypothalamus, which shares its blood supply with the eardrum. Changes in body temperature are normally seen more quickly in the eardrum than in other places, such as the rectum, mouth or armpits. Advantages of temperature measuring in the ear:
- Auxiliary temperature measuring (armpit) only shows the skin temperature and can therefore give an unreliable value of the body temperature.
- Rectum temperature measuring often gives a considerable delay in comparison with the inner body temperature, which can be misleading in conditions with rapid changes in body temperature.
- Oral temperature measuring (oral cavity) is often affected by food intake, positioning of the thermometer, breathing through the mouth, or inability to keep the mouth closed.
BODY TEMPERATURE
The body temperature of a healthy person is influenced by age (higher in babies and small children than in adults), individual variations in metabolism, and several other factors. Body temperature varies both more quickly and more often in children, for example in relation to growth. Body temperature is also influenced by clothing, the time of day (usually lowest in the morning and increasing during the day and evening), physical activity, and also to a certain extent by mental activity and stress. It is therefore advisable to chart your own body temperature profile through a health condition and take daily temperatures with the same thermometer at the same time and the same daily activities.
USE
SETTING THE TIME AND DATE
The time and date must be set before using the fever thermometer for the first time. Check that the fever thermometer is switched off and then go to settings mode by pressing the button marked S for three seconds.
- Choice of 12/24 hour display: The time can be shown in 12-hour format with AM/PM indicator, or in 24-hour format. Tap the button marked S to switch between display formats. When the required display format is set, press the button marked
. The numbers for hours start flashing.
FIG. 58 - Setting the hour:
— Step through the hours by repeatedly pressing the button marked S until the correct hour is shown.
— When the correct hour is set, press the button marked
. The numbers for minutes start flashing.
FIG. 59 - Setting the minutes:
— Step through the minutes by repeatedly pressing the button marked S until the correct minutes are shown.
— When the correct minutes are set, press the button marked
. The numbers for the year start flashing.
FIG. 60 - Setting the year:
– Step through the years by repeatedly pressing the button marked S until the correct year is shown.
— When the correct year is set, press the button marked
. The numbers for the month start flashing.
FIG. 61 - Setting the month:
— Step through the months by repeatedly pressing the button marked S until the correct month is shown.
— When the correct month is set, press the button marked
. The numbers for the day (today’s date) start flashing.
FIG. 62 - Setting the day:
– Step through the days by repeatedly pressing the button marked S until the correct day is shown
— When the correct day is set, press the button marked
to finish and exit settings mode.
FIG. 63 - Choice of temperature unit:
– The measured temperature can be shown in degrees Celsius (°C) or degrees Fahrenheit (°F). – Check that the fever thermometer is switched off and then press the start button for three seconds to activate the selection of the temperature unit.
— Tap the button marked
to switch between temperature units. – When the required temperature unit is selected, press the button 0to exit temperature selection mode.
HOW TO USE
Ear temperature measuring
- Always use a new, clean probe cover before each measurement to ensure accuracy and obtain reliable results. Press the probe cover on the probe correctly and check that it is firmly in place on the probe.
- Press the button marked
. The display is activated and all the display segments light up briefly as a function check. After the function check the display switches to show the image (fig. 10) below and gives audio prompts to indicate that the fever thermometer is ready to start a new measurement. If the fever thermometer is not ready for measuring, an error message will be shown instead.
FIG. 64
NOTE:
• The symbol for the probe cover is shown when measuring the temperature with the probe cover on and goes off when the probe cover is not on.
• All temperature measuring should be done with the probe cover on, and the probe cover should be changed between measuring different persons, to minimize the risk of contagion - Carefully insert the probe in the auditory canal as far as possible, see figure below. Press the start button once to start the temperature measuring. A long audio prompt is given about one second after pressing the start button. The audio prompt indicates that the measurement is done. The measured temperature is shown on the display.
FIG. 65 - The product is ready for the next measurement when the ear symbol is shown on the display. To avoid excessive cooling of the skin you should wait about 20 seconds between measurements.
- The fever thermometer switches off automatically after 60 seconds of inactivity. To save batteries the fever thermometer can also be switched off manually with the button
.
Object temperature measuring
- Take off the probe cover.
- Point the probe at the center of the object to be measured, with the tip of the probe one to two cm from the surface of the object.
- Press the button
to start the fever thermometer. The temperature can be measured after two audio prompts.
FIG. 66
NOTE:
In object temperature measuring mode there is no correction of the measured temperature as in the case of body temperature measuring in the auditory canal, the actual measured surface temperature is shown instead.
Switching between ear temperature measuring and object temperature measuring
Press the button marked S to switch between ear and object temperature measuring.
After measuring
- Switching off: the fever thermometer switches off automatically after 60 seconds of inactivity to save the batteries.
- Clean the probe after use to ensure reliable results and to reduce the risk of contagion (see section “Cleaning and maintenance”).
Fever indicator
The fever indicator is active for ear temperature measuring.
- If the measured temperature is less than 37.8°C (100.0°F) a laughing face symbol is shown
beside the temperature value. - If the measured temperature is 37.8°C (100.0°F) or higher a sad face symbol is shown
beside the temperature value.
Measuring tips
- The measuring results can differ between the right and left ear. For this reason, always measure in the same ear.
- The auditory canal must be free from contamination and wax, which can make measuring unreliable.
- Outer circumstances can affect the ear temperature, for example:
— To have recently been lying on the ear.
— To recently have had the ear covered by ear protectors or the equivalent.
— To have recently been in a very hot or very cold place.
— To have recently been swimming or in the bath. - In such circumstances, the person should wait 20 minutes in a neutral environment with uncovered ears before measuring.
- Persons that use hearing aids or earplugs should take them off and wait 20 minutes before measuring.
- When using on children younger than one-year-old, pull up the ear to ensure that the probe points straight against the eardrum (see figure below).
FIG. 67 - When using on persons over one year old, pull the ear back to ensure that the probe points straight against the eardrum (see figure 14).
FIG. 68 - Do not touch the front lens on the probe. Clean the front lens when necessary with a cotton cloth moistened with alcohol. 9. If the fever thermometer is stored in a place that is significantly different from where it is to be used it should be left at rest for at least 30 minutes before the first measurement.
Readings memory
- The readings memory is accessible from both ear temperature measuring mode and object temperature mode. When the fever thermometer is started and the display has run a self-test and ear temperature measuring (display as per figure 10) or object temperature measuring (display as per figure 12) has been selected, press the button marked for three seconds. The text MEM is shown on the top right of the display (see figure 15).
FIG. 69 - The fever thermometer will now automatically store the next 10 measured temperatures. The measurements are saved with time and type markings (date and time and type of measurement). Press the button marked
repeatedly to browse through the stored measurement values in the sequence 1 to 10. Number 1 is the most recent and number 10 is the oldest of the stored measurements (see figure 16).
FIG. 70 - The ear measuring symbol or object measuring symbol is always shown in memory mode. Press the start button to do new measurements.
CLEANING AND MAINTENANCE
- The probe cover is only intended for disposable use! If the probe cover is not used, is missing, damaged, perforated or contaminated, the temperature measuring will be unreliable.
- The front lens on the probe must be kept clean, dry, and undamaged for accurate and reliable measurement results. The accuracy can be reduced if the front lens is damaged, contaminated, or covered with ear wax. Fingerprints, dust, and other contamination make the front lens less transparent and therefore lead to low-temperature readings. If the probe is by mistake put into an ear without a probe cover on, the front lens must be cleaned immediately.
- The front lens on the probe is very delicate and must be handled and cleaned very carefully. Clean the front lens by carefully wiping it with a cotton cloth moistened with isopropanol and wipe immediately with a dry and clean cotton cloth. Allow drying for at least five minutes before the next temperature measurement.
NOTE:
No chemicals other than isopropanol must be used to clean the front lens on the probe.
- Clean the fever thermometer display and casing with a soft, dry cloth.
- The fever thermometer is not watertight. Do not immerse the thermometer in water.
- The fever thermometer and probe cover should be stored dry, clean
and free from dust, and protected from direct sunlight. - Always clean and disinfect the fever thermometer after use to prevent contagion. Disinfect the fever thermometer and its probe with a soft cloth moistened with a 75% solution of isopropanol. Do not use abrasive detergent.
- Do not allow children to clean or maintain the fever thermometer without supervision — it contains small parts that can be swallowed.
- Store the fever thermometer in the original packaging when not in use.
REPLACING THE BATTERY
- The batteries should be replaced when the symbol is shown in the top right corner of the display.
- Remove the battery cover by pushing it down.
FIG. 71 - Take out the used batteries and insert 2 new alkaline batteries, size AAA (LR03).
FIG. 72 - Replace the battery cover.
CALIBRATION
The fever thermometer is supplied and calibrated from the factory. No regular recalibration is necessary when used in accordance with these instructions. It is recommended to calibrate the fever thermometer every two years, or if its clinical accuracy is doubtful. The thermometer should then be submitted to the manufacturer or retailer for recalibration.
The above recommendation does not replace any legal requirements. Legislation, rules and regulations, and guidelines for the use, functionality, and accuracy of the fever thermometer should always be complied with.
A clinical summary and procedure to check the calibration of the fever thermometer can be supplied on request (start the thermometer and press the power switch until it switches to calibration mode, whereby the installed program version is shown).
TROUBLESHOOTING
| Error message | Problem | Action |
| Measuring started before the product was ready. | Do not start measuring before the prompt signal (two audio signals) is given. | |
| The ambient temperature is outside the interval of 10 to 40°C. | Allow the temperature of the product to equalize for at least 30 minutes in a room where the temperature is within the interval of 10 to 40°C. | |
| The positioning of the product is incorrect or unstable. | Read and follow the instructions in the section “How to use”. | |
| The product indicates a rapid change in the ambient temperature. | Allow the temperature of the product to equalize for at least 30 minutes in a room where the temperature is within the interval 10 to 40°C. | |
| The product is not working correctly. | Remove the batteries, wait one minute, replace the batteries, and try to use the product again. Contact the retailer if the fault persists. | |
| The probe cover is in position for object temperature measuring. | Remove the probe cover for object temperature measuring. | |
| For ear temperature measuring: measured temperature exceeds 43.0°C (109.4°F). For object temperature measuring: measured temperature exceeds 100°C (212°F). | Read and follow the instructions in the section “Measuring tips” and check that the probe cover is intact. | |
| For ear temperature measuring: the measured temperature is lower than 32.0°C (89.6°F). For object temperature measuring: the measured temperature is lower than 0°C (32°F). | Read and follow the instructions in the section “Measuring tips” and check that the front lens filter is clean. | |
| Low battery charge. | Replace the batteries (2x size AAA). |
ELECTROMAGNETIC COMPATIBILITY
The product complies with the EMC requirements in accordance with the international standard IEC 606011-2 if the specified conditions in the table below are met. The product is an electrical medical product and as such is subject to special requirements concerning electromagnetic compatibility, which requirements must be indicated in the instructions for the product. Portable and mobile radio communications equipment can affect the product. Do not use the product together with unapproved accessories — this can have a negative effect on the product and change its electromagnetic compatibility. Do not use the product in the immediate vicinity of electrical equipment or between different electrical equipment.
GUIDELINES 8 MANUFACTURER’S CERTIFICATE CONCERNING ELECTROMAGNETIC RADIATION
The product is intended to be used in electromagnetic environments in accordance with the specifications below. It is incumbent on the customer or the person using the product to ensure that the electromagnetic environment in which the product is used complies with these specifications.
Emission test Compliance Guidelines for electromagnetic environment Radiofrequency radiation CISPR 11. Group 1. Radiofrequency energy is only used in the product for internal functions in the product. The emitted radio frequency radiation is therefore very low and the probability of it causing interference in nearby electronic equipment is low. Radiofrequency radiation CISPR 11. Class B. Class B equipment can be used for domestic purposes and in facilities directly connected to low voltage networks in residential buildings. Overtones IEC 61000-3-2. Not applicable Voltage fluctuation/flicker IEC 61000-3-3. N Not applicable
| Emission test | Compliance | Guidelines for electromagnetic environment |
| Radiofrequency radiation CISPR 11. | Group 1. | Radiofrequency energy is only used in the product for internal functions in the product. The emitted radio frequency radiation is therefore very low and the probability of it causing interference in nearby electronic equipment is low. |
| Radiofrequency radiation CISPR 11. | Class B. | Class B equipment can be used for domestic purposes and in facilities directly connected to low voltage networks in residential buildings. |
| Overtones IEC 61000-3-2. | Not applicable | |
| Voltage fluctuation/flicker IEC 61000-3-3. | Not applicable |
GUIDELINES Es MANUFACTURER’S CERTIFICATE CONCERNING ELECTROMAGNETIC IMMUNITY
The product is intended to be used in electromagnetic environments in accordance with the specifications below. It is incumbent on the customer or the person using the product to ensure that the electromagnetic environment in which the product is used complies with these specifications.
| Immunity test | Test level as per IEC 60601 | Compliance level | Guidelines for electromagnetic environment |
| Electrostatic discharge (ESD) IEC 61000-4-2 | ±8 kV line carrier ± 2 kV, ± 4 kV, ±8 kV, ± 15 kV airborne | ±8 kV line carrier ± 2 kV, ± 4 kV, ±8 kV, ± 15 kV airborne | The floor surface should consist of wood, concrete or clinker. In rooms with floors covered with synthetic material, the relative air humidity should be at least 30%. |
| Electrostatic rapid transient/burst IEC 61000-4-4 radiation CISPR 11. | ±2 kV for power lines Repetition frequency 100 kHz, ± 1 kV for incoming and outgoing lines | Not applicable | Not applicable |
| Overvoltage pulse IEC 61000-4-5 | ±0.5 kV, ±1 kV differential mode line to line | Not applicable | Not applicable |
| Undervoltage pulses, short-term interruption and voltage variations on input lines. IEC 61000-4-11 | 0% OUT* (100% reduction of OUT*) under 0.5 period at 0°, 45°, 90°, 135°, 180°, 225°, 270°, and 315° 0% OUT* (100% reduction of OUT*) under 1period at 0° 70% OUT* (30% reduction of OUT*) under 25/30 periods at 0° 0% OUT* (100% reduction of OUT*) under 250/300 periods at 0° | Not applicable | Not applicable |
| Net frequency (50/60 Hz) magnetic field IEC 61000-4-8 | 30 A/m, 50/60 Hz | 30 A/m, 50/60 Hz | The magnetic field of the net frequency should be at the levels that characterize a normal place of use in a typical commercial environment or hospital environment. |
NOTE:
*OUT is the mains voltage before the test level is applied.
| Immunity test | Test level as per IEC 60601 | Compliance level | Guidelines for electromagnetic environment |
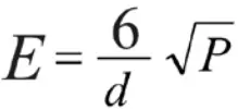
| Line carried radio frequency interference IEC 61000-4-6 Emitted radio frequency interference IEC 61000.4-3 | 3 Vrms 150 kHz to 80 MHz 6 Vrms 150 kHz to 80 MHz outside the ISM band 10 V/m 80 MHz to 2.7 GHz | Not applicable 10 V/m | Portable and mobile radio communication equipment must not use nearer to any part of the product or its leads than the recommended minimum distance in accordance with the equation applicable for the transmitter in question. Recommended minimum distance Interference can occur in the vicinity of equipment marked with the symbol: |
NOTE
The higher frequency range is applicable at 80 MHz and 800 MHz.
These guidelines do not apply in all situations. Electromagnetic radiation can be affected by absorption in and reflection against building structures and other objects, such as people.
a. In the frequency range 015-80 MHz there are the following ISM bands (industrial, scientific and medical): 6.765-6.795 MHz, 13.553-13.567 MHz, 26.957-27.283 MHz, and 40.66-40.70 MHz.
In the frequency range 015-80 MHz there are the following communication radio bands: 1.8-2.0 MHz, 3.5-4.0 MHz, 5.3-5.4 MHz, 7-7.3 MHz, 101-10.15 MHz, 14-14.2 MHz, 18.07-1817 MHz, 21.0-21.4 MHz, 24.89-24.99 MHz, 28.0-29.7 MHz and 50.0-54.0 MHz.
b. The compliance levels in the ISM bands between 150 kHz and 80 MHz and in the frequency band between 80 MHz and 2.7 GHz are intended to reduce the probability that the product suffers interference from mobile phones and portable communication radio equipment that by mistake is taken into the patient area. For this reason, an extra factor of 10/3 has been inserted in the formulas for the calculation of the recommended minimum distance to equipment that radiates radio frequency energy in these frequency bands.
c. The field strength from permanent transmitters, e.g. base stations for mobile phones and wireless telephony, communication radios, amplitude or frequency modulated radio and television broadcasting, cannot be predicted theoretically with a practical degree of accuracy. In those cases where the electromagnetic environmental impact from permanent radio transmitters is important, measurement of electromagnetic field strength in situ should therefore be taken into consideration. If the measured field strength in the place where the product is used exceeds the applicable, above specified compliance levels for radio frequency radiation, the product should be tested and checked to verify that it is working properly. Additional measures may be necessary if incorrect or abnormal functionality is observed, for example, the realignment or repositioning of the product.
d. In the frequency range 150 kHz to 80 MHz the field strength should be less than 3 V/m.
RECOMMENDED MINIMUM DISTANCE BETWEEN THE PRODUCT AND PORTABLE 8 MOBILE RADIO COMMUNICATION EQUIPMENT
The product is intended to be used in electromagnetic environments in which radiated radio frequency interference is controlled and limited. The customer or person using the product can reduce the risk of electromagnetic interference by maintaining the recommended minimum distance, given below on the basis of radio transmitted power, between the product and portable and mobile radio communication equipment.
| Rated output power P in watts (W)of a radio transmitter | 0,01 | 0,1 100 | 1 | 10 | ||
| Minimum distance d between product and radio transmitter in meters (m) | 150 kHz till 80 MHz | 0,12 | 0,37 | 1,17 | 3,7 | 11,7 |
| 80 MHz till 800 MHz | 0,04 | 0,12 | 0,35 | 1,11 | 3,5 | |
| 800 MHz till 2,7 GHz | 0,07 | 0,23 | 0,7 | 2,22 | 7,0 | |
For radio transmitters where the rated power P is not given in the table values, the minimum distance d can be calculated with the applicable equation for the transmitter frequency, whereby the transmitting power P is given in W.
NOTE:
- The minimum distance for the higher frequency range is applicable at 80 MHz and 800 MHz.
- These guidelines do not apply in all situations. Electromagnetic radiation can be affected by absorption in and reflection against building structures and other objects, such as people.
RECOMMENDED MINIMUM DISTANCE BETWEEN THE PRODUCT EI PORTABLE >3 MOBILE RADIO COMMUNICATION EQUIPMENT
The product is intended to be used in electromagnetic environments ii where radiated radio frequency interference is controlled and limited. The customer or person using the product can reduce the risk of electromagnetic interference by maintaining the recommended minimum distance, given below on the basis of radio transmitted power, between the product and portable and mobile radio communication equipment.
| Frequency MHz | Transmitting power W | Minimum distance | Test level as per IEC 60601 | Compliance level | Guidelines for electromagnetic environment |
| 385 | 1,8 | 0,3 | 27 | 27 | Portable and mobile radio communication equipment must not use nearer to any part of the product or its leads than the recommended minimum distance in accordance with the equation applicable for the transmitter in question. Recommended minimum distance the recommended minimum distance in meters (m). The field strength from a permanent radio transmitter, determined by electromagnetic measurement in situ, should be less than the specified compliance level for the respective frequency range. Interference can occur in the vicinity of equipment marked with the symbol: |
| 450 | 2 | 0,3 | 28 | 28 | |
| 710 | 0,2 | 0,3 | 9 | 9 | |
| 745 | |||||
| 780 | |||||
| 810 | 2 | 0,3 | 28 | 28 | |
| 870 | |||||
| 930 | |||||
| 1720 | 2 | 3 | 28 | 28 | |
| 1845 | |||||
| 1970 | |||||
| 2450 | 2 | 0,3 | 28 | 28 | |
| 5240 | 0,2 | 0,3 | 9 | 9 | |
| 5500 | |||||
| 5785 |
NOTE:
These guidelines do not apply in all situations. Electromagnetic radiation can be affected by absorption in and reflection against building structures and other objects, such as people.
Care for the environment! Recycle discarded products in accordance with local regulations.
JULA AB, BOX 363, SE-532 24 SKARA
2022-03-17
©Jula AB


























