SPL Mercury Mastering D/A-Converter User Manual



Version 1.1 03/2020
Developer: Bastian Neu
This manual includes a description of the product but no guarantee as for specific characteristics or successful results.
Unless stated otherwise, everything herein corresponds to the technical status at the time of delivery of the product and user manual by SPL electronics GmbH.
The design and circuitry are under continuous development and improvement.
Technical specifications are subject to change.
Package Contents
Mercury Mastering D/A Converter
Power cord
USB
cable Manual
The Mercury Mastering D/A Converter is available in three different color combinations.
Black: Model 1730
Red: Model 1734
All Black: Model 1733
Do consider keeping the original packaging. It can come in very useful whenever you need to transport your gear. If there is ever the need to send it in for repair, the original packaging guarantees a safe shipment.
Product Registration
Register your device to get useful information concerning the product. On the front page of this manual you will find a QR code, which includes the link to the registration form and automatically fills in the serial number and product name into the form. Alternatively you can also call up the online form with your internet browser via the following link: https://spl.audio/register
Introduction
Mastering D/A Converter in 120V Technology
The Mercury Mastering D/A Converter perfectly connects the SPL Mastering Universe to the digital world.
Mercury is a stereo digital to analog converter that fulfills the highest demands both technologically and tonally.
Mercury provides connections for a total of seven digital stereo input sources.
It provides an USB input, two coaxial, two optical and two AES/EBU inputs the AES Input 2 also supports Dual-Wire (DW) mode.
Each digital sources has its dedicated and illuminated switch for instant selection and fast comparison.
The mandatory low-pass filters that immediately follow the DA converter’s analog output are built in 120V rail technology. The filters are each optimized for PCM and for DSD playback.
We refer to them as DLP 120, which stands for dual low-pass filters in 120V technology. DLP120 significantly increases the dynamic range and headroom beyond the current benchmarks.
Conversion is designed around AKM’s highly acclaimed Velvet-Sound® converter technology that sports sampling rates of up to 768kHz, 32bit and Direct Stream Digital up to DSD4.
Mercury provides two sets of analog stereo outputs. One of which is fixed and can be calibrated to all common reference levels, the other provides an analog controllable output level, which makes Mercury a state-of-the-art monitor controller as well.
The SPL Mercury Mastering D/A Converter was developed and manufactured in Germany.
Technical Aspects
120 Volt Technology
SPL`s goal was to push analog signal processing to the limits. That`s why we combined the best possible components with a high-grade optimized circuit design.
We have been using the in-house developed 120 Volt technology – the highest-ever operating voltage used for audio applications – in all our products from the Mastering series for years. Some of the most highly respected Mastering studios today revolve around SPL consoles and signal processors from our Mastering series (Bob Ludwigs Gateway Mastering & DVD in the USA, Simon Heyworth`s Super Audio Mastering in the UK, Galaxy Studios in Belgium, and the legendary Wisseloord in the Netherlands, for instance).
The 120 Volt technology is based on op-amps developed internally by SPL`s co-founder and Chief Developer Wolfgang Neumann. The Hermes Mastering Router features the most advanced generation of these op-amps. They boast with even better tech specs thanks to the thermal behavior optimization they under went under the hands of Bastian Neu.
Ultimately, the supply voltage is key for the overall dynamic response of a processor. Voltage is to an electrical circuit what cylinder capacity is to an internal combustion engine:
You can`t replace cylinder capacity with anything else, except more cylinder capacity.
DLP120
Another technological speciality of the Mercury is the DLP120.
The output signal of a DAC-IC must always be filtered with a low-pass filter. This is done digitally on the chip in most DACs. Followed by the analog signal processing stage. This analog circuit is typically operated with the same voltage as the DAC-IC, for example 5V. The first stage that the analog signal finds is therefore a dynamic range and signal-to-noise ratio, which is limited by this voltage. The Mercury uses the DLP120 instead of this standard technology. DLP stands for “Dual Low Pass”. That’s two separate analog filters in 120V technology. Depending on the type of digital signal, the analog signal passes through the PCM or DSD filter and unfolds freely into a huge dynamic range. The complete processing stage operates with a voltage of +-60V.
Technical Aspects
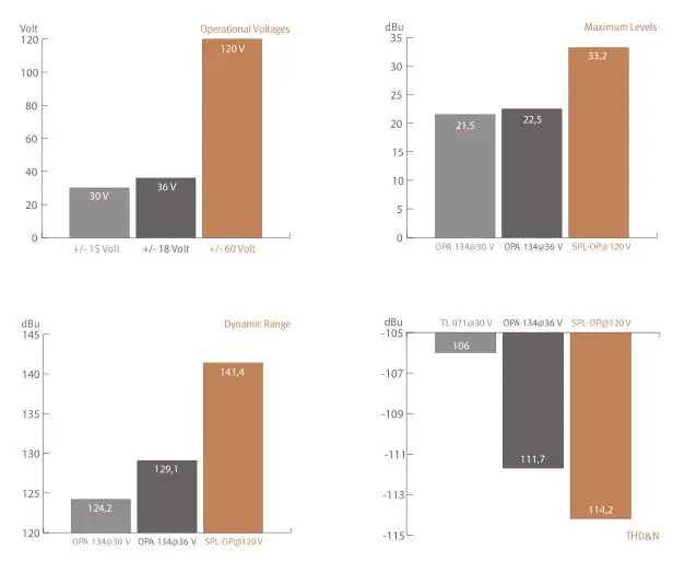
120 Volt Technology – Diagrams
These diagrams clearly show the advantages of our 120-volt technology in comparison to other circuits with a lower operating voltage. The direct relation between operating level and maximum level is fundamental for the classification: the higher the operating level, the higher the maximum level a circuit can handle. And since virtually all essential acoustic and musical parameters depend on this relation, a higher operating voltage also has a positive impact on the dynamic range, distortion limit and signal-to-noise ratio. The result is a clearly more laid-back and natural sound with less unpleasant coloring.
Do bear in mind that dB scales do not represent linear but rather exponential increases. A 3 dB increase corresponds to doubling the acoustic power, +6 dB correspond to twice the sound pressure level, and +10 dB correspond to twice the perceived loudness.
When it comes to volume, the 120-volt technology exhibits a performance that is twice that of common components and circuits, in regard to maximum level and dynamic range, with values that are approximately 10 dB higher. THD measurements of the SPL op-amps show a difference of more than 3 dB compared to the OPA134 at 36 V — in terms of sound pressure level, that corresponds to an improvement of more than 50%.
The operating level most commonly used for audio equipment is 30 volts.
Installation
Voltage Selection
Before connecting the Mercury Mastering D/A Converter to the mains, make sure that the voltage selection corresponds to the values of your local power grid (230 or 115 volts). Inside the power connector, to the right, next to the on/off switch, there is an opening that displays the voltage selected. If the voltage indicated does not correspond to the one required, change it by following this procedure:
Open the power connector lid with a small screwdriver (use the tiny slots on the right hand side). Use the screwdriver to lever the red fuse holder from above until you can grab it. Take the fuse holder out and replace the fuse with one corresponding to the local power grid specifications. You can find the adequate values on the rear of the unit or on page 16 of this user`s manual. Turn the fuse holder around 180 degrees and place it back again. When you close the lid again, you should see the correct voltage displayed in the opening.
On the product site on our website (https://mercury.spl.audio) you will find a video concerning the topic “Changing the mains voltage”. If you ever have to exchange a fuse, we recommend the video “Exchange defective fuses”.
First Steps
Before turning on the Mercury Mastering D/A Converter you must first connect the included 3-pin power cord to the 3-pin IEC socket. The transformer, power cord and IEC socket all comply to the VDE, UL and CSA regulations.
The Mercury Mastering D/A Converter should not be installed in close proximity to equipment that emits magnetic fields or emanates heat. Avoid exposure to heat, moisture, dust, and vibrations.
The unit should be powered off before connecting or disconnecting any cables or equipment to it.
Use the On/Off switch on the rear panel to turn the unit on or off. The illuminated red LED in the middle of the front panel indicates the unit`s operating status. The On/Off switch was placed on the rear panel to avoid any emissions due to voltage-carrying conductors running across the unit and affecting sound. When powering on or off, there`s no need to observe a specific sequence regarding the connected devices. However, like with any audio signal chain, power amplifiers should always be powered on last and powered off first. The Mercury Mastering D/A Converter can be powered on and off with the use of a circuit breaker, as long as the total load does not exceed the rating of the latter.
Cabling: Rear Side
XLR inputs and outputs
We used exclusively Switchcraft/Neutrik XLR input and output plugs to guarantee perfect connectivity in the studio. They provide an optimal connection thanks to their electromechanical design and large contact surface.
The image shows the XLR connectors pinout. They are balanced and have three conductors or wires. Conductor 2 (Pin 2) corresponds to the (+) or hot Signal.
In case an unbalanced connection is necessary, the correct polarity of the conductors needs to be observed.

Ground Lift switch to avoid ground loops
On the rear panel of the Gemini Mastering M/S Processor (see page 8) is also a ,,GND LIFT” (Ground Lift) switch to avoid any ground loops. Ground loops take place when gear connected in the same network have different potentials The GND LIFT switch disconnects the equipment ground from the service ground to avoid such problems. The Ground Lift function is activated (= equipment ground disconnected) when the switch is depressed.


- USB
- Optical 1 and Optical 2 (TOSLINK)
- Coaxial 1 and Coaxial 2 (S/P-DIF)
- AES 1
- AES 2 [DW L and DW R]
- Word Clock
- FIX OUT
- VAR OUT
- Ground-Lift (see details on page 7)
- Voltage (see details on page 6)
We also provide a Screen show video manual on the product page on our website: https://mercury.spl.audio
1 USB
A computer can be connected to the USB port [USB 2.0, Type B, Female]. Two-channel PCM and DSD audio formats can be sent via this USB connection. Sample rates up to 768kHz are supported for PCM audio and up to DSD4 (quad-rate DSD or DSD256) for DSD audio. No special driver is required for an Apple Mac, as Apple natively supports USB class 2 up toasamplingrateof768kHz. To use Mercury to its full extent on a Windows PC, the SPL Mercury driver should be installed. This can be downloaded from the product website https://mercury.spl.audio With this driver, higher sampling rates than 44.1kHz and 48kHz can be output on a Windows PC.
2 Optical 1 and Optical 2 (TOSLINK)
Mercury has two optical inputs, each capable of managing a two-channel signal. Both optical inputs are designed exactly the same and have the same specifications according to the IEC 60958 Type II ,Optical` standard. The input jack is an F05 jack. Optical fiber cables are used for signal transmission. This interface supports sampling rates up to192kHz for encoded PCM audio. The bit rate of the sampled values can range from 16 bits to 24 bits. This interface is better known under the Toshiba brand name TOSLINK. Our tip: You should attach importance to the quality of the optical fiber. With inexpensive plastic optical fibers, transmissions with four fold sampling rates (176.4kHz/192kHz)may have faults. In this case a real fiber optic cable should be chosen.
3 Coaxial 1 and Coaxial 2 (S/P-DIF)
The two inputs Coaxial 1 and Coaxial 2 can also each receive a two-channel signal (PCM audio) with sampling rates up to 192kHz and a bitrate of 16bits to24bits. Both inputs have the same design and specifications, according to the IEC 60958 Type II standard. Unbalanced, 2-wire 75-Ohm coaxial cables with RCA connectors are used for signal transmission. This interface is better known as ,,S/P-DIF” (Sony/Philips Digital Interface).
4 AES 1
Mercury provides two AES/EBU inputs. An AES signal can transport two encoded PCM audio channels with a maximum sampling rate of 192 kHz and a bit rate of 16 bits to 24 bits. This standard is defined under IEC 60958 Type I. The input AES 1 has an input jack which corresponds to a standard XLR input (XLR, female). Balanced, 3-core, 110 Ohm ,,twisted pair” cables with XLR plugs are used for connection.
5 AES 2 [DW L and DW R]
The AES 2 input has two input jacks (XLR, female). In regular mode, the AES 2 DW L input jack is used to connect a regular AES signal. This input then corresponds to the same specifications as the input AES 1. However, the AES 2 input also supports Dual Wire (DW) mode, in which two AES jacks operate together to double the sampling rate. The AES 2 input therefore has two XLR jacks. In Dual Wire mode, the AES 2 DW L jack is used to connect the left channel and AES 2 DW R is used to connect the right channel. Dual Wire is automatically activated when a mono channel is detected in the input signal from both AES 2 inputs. When Dual Wire is active, the abbreviation “DW” is shown on the display (see page 15) to the left of the word “Sample Rate”. Balanced, 3-wire, 110 Ohm ,,twisted pair” cables with XLR connectors are used for the connection.
6 Word Clock
Mercury can be clocked to any connected digital input or to an external word clock. If you want to synchronize to an external Word Clock, this is done via a cable with75 Ohm impedance and BNC connection.
7 FIX OUT
The FIX OUT is an analog balanced stereo output (XLR, male) which can be calibrated to all common reference levels. See page 15 for more information on selecting reference levels.
8 VAR OUT
In addition to the regular stereo output FIX OUT, the Mercury has another analog symmetric stereo output: VAR OUT
The same signal is applied to this as to the FIX OUT, but the level is variably adjustable. Thus Mercury can also be used as a state-of-the-art monitor controller.
Control Elements

1 USB
2 AES 1
3 AES 2
4 Coax 1
5 Coax 2
6 Opt 1
7 Opt 2
8 Mute
9 Sync
10 Operating status display
11 Output
We also provide a Screenshow video manual on the product page on our website: https://mercury.spl.audio
1 USB
By pressing the push button labeled USB the signal connected to the USB port is routed to the DA converter. When the USB input is active, the USB push-button is illuminated.
2 AES 1
By pressing the push button labeled AES 1 the signal connected to the USB port is routed to the DA converter. When the AES 1 input is active, the AES 1 push-button is illuminated.
3 AES 2
By pressing the push button labeled AES 2 the signal connected to the AES 2 port is routed to the DA converter. When the AES 2 input is active, the AES 2 push-button is illuminated.
4 Coax 1
By pressing the push button labeled Coax 1 the signal connected to the Coax 1 port is routed to the DA converter. When the Coax 1 input is active, the Coax 1 push-button is illuminated.
5 Coax 2
By pressing the push button labeled Coax 2 the signal connected to the Coax 2 port is routed to the DA converter. When the Coax 2 input is active, the Coax 2 push-button is illuminated.
6 Opt 1
By pressing the push button labeled Opt 1 the signal connected to the Opt 1 port is routed to the DA converter. When the Opt 1 input is active, the Opt 1 push-button is illuminated.
7 Opt 2
By pressing the push button labeled Opt 2 the signal connected to the Opt 2 port is routed to the DA converter. When the Opt 2 input is active, the Opt 2 push-button is illuminated.
8 Mute
When the Mute button is engaged, the output signal of the Mercury is muted both the FIX OUT and the VAR OUT signal. When the mute function is active, the button is illuminated red.
9 Sync
The Sync button has various functions.
The first function is to display the synchronization status. If a source other than USB is selected, the button is illumintaed blue when the source is synchronized to the selected clock. If USB is selected as source, the button will not light up, as USB cannot be synchronized to an other source due to the system. Therefore, no sync options are available for USB. In addition, this button is also used to select the synchronisation source and reference levels.
Selection of the synchronization source:
You can switch between different synchronization sources by pressing the Sync button. Word, Source and all other inputs (except USB) are selectable.
To synchronize to an external Word Clock (seepage11),”Word” must be selected in the Sync settings of the display. Now every selected source (except USB) is synchronized to the external Word Clock. If the sync source “Source” is selected and shown on the display, each source uses its own sync code embedded in the signal.
It is possible to synchronize to any input source. By briefly pressing the Sync button again, you can navigate through the input sources AES 1, AES 2, Coax 1, Coax 2, Opt 1 and Opt 2. After that the selection continues from the beginning and starts again with “Word”.
If a sync source is not wired or does not provide a valid sync signal, the LED of the sync button flashes and the display of the sample rate remains blank.
Mercury supports sampling rates from 44.1kHzto768khz(PCM)and Direct Stream Digital (DSD) to DSD4/DSD256.
Selection of reference levels: To change into the mode to select different reference levels, press the Sync button for two seconds. The display readout changes from “Sync” to “0dBfs” to indicate that the selection mode has been changed. On delivery of the device the reference level is calibrated to 0dBfs = 18dbu. By pressing the Sync button again you can now switch through the various reference levels.
10 Display
The display provides information about the sync source, the sample rate of the selected source and the selected reference level. Find further information about the selection of different synchronization sources and different reference levels on this page under item 9.
11 Output
The level of the VAR OUT output can be controlled via this analog potentiometer. As volume control we use the ALPS RK27 “Big Blue” potentiometer with nice feel and excellent channel synchronisation. This means that not only the auditory but also the haptic experience is at the highest level when adjusting the volume.
Specifications
Measurements

Security Advices
Connections
Only use the connections as described. Other connections can lead to health risks and damage the equipment.
Water and humidity
Do not use this device anywhere near water (for example in a bath room, a damp cellar, near swimming pools, or similar environments). Otherwise your are dealing with an extremely high risk of fatal electrical shocks!
Insertion of objects or fluids
Be careful to not insert any object into any of the chassis openings. You can otherwise easily come into contact with dangerous voltage or cause a damaging short circuit. Never allow any fluids to be spilled or sprayed on the device. Such actions can lead to dangrous electrical shocks or fire!
Ventilation
The vent openings on the unit are meant to avoid the device from overheating. You should never cover nor block these openings.
Power Supply
Power the unit exclusively with the voltage rating specified on the unit. In case of doubt, contact your local dealer or electric provider. Disconnect the unit from the electric power grid if you are not going to use it for a long period of time. Unplug the power chord from the mains to cut power supply to the unit. Always make sure that the mains plug is easily accessible.
Opening the unit
Simply put: DON`T, if you are not a certified SPL technician or engineer. Really: Do not open the device housing, as there is great risk you will damage the device, or even after being disconnected you may receive a dangerous electrical shock!
Cord protection
Make sure that your power and audio signal cords are arranged to avoid being stepped on or any kind of crimping and damage related to such event. Do not allow any equipment or furniture to crimp the cords. Power connection overloads: Avoid any kind of overload in connections to wall sockets, extension or splitter power cords, or signal inputs. Always keep manufacturer warnings and instructions in mind. Overloads create fire hazards and risk of dangerous shocks!
Lightning
Before thunderstorms or other severe weather, disconnect the device from wall power; do not do this during a storm in order to avoid life threatening lightning strikes. Similarly, before any severe weather, disconnect all the power connections of other devices and antenna and phone/network cables which may be interconnected so that no lightning damage or overload results from such secondary connections.
Security Advices
Controls and switches
Operate the controls and switches only as described in the manual. Incorrect adjustments outside safe parameters can lead to damage and unnecessary repair costs. Never use the switches or level controls to effect excessive or extreme changes.
Repairs
Unplug the unit from all power and signal connections and immediately contact a qualified technician when you think repairs are needed or when moisture or foreign objects may accidentally have reached inside the housing, or in cases when the device may have fallen and shows any sign of having been damaged. This also applies to any situation in which the unit has not been subjected to any of these unusual circumstances but still is not functioning normally or its performance is substantially altered. In cases of damage to the power supply and cord, first consider turning off the main circuit breaker before unplugging the power cord.
Replacement/substitute parts
Be sure that any service technician uses original replacement parts or those with identical specifications as the originals. Incorrectly substituted parts can lead to fire, electrical shock or other dangers, including further equipment damage. Safety inspection: Be sure always to ask a service technician to conduct a thorough safety check and ensure that the state of the repaired device is in all respects up to factory standards.
Cleaning
Do not use any solvents, as these can damage the chassis finish. Use a clean, dry cloth (if necessary, with an acid-free cleaning oil). Disconnect the device from your power source before cleaning
Notes on Environmental Protection
At the end of its operating life, this product must not be disposed of with regular household waste but must be returned to a collection point for the recycling of electrical and electronic equipment. The wheelie bin symbol on the product, user`s manual and packaging indicates that. The materials can be reused in accordance with their markings. Through reuse, recycling of raw materials, or other forms of recycling of old products, you are making an important contribution to the protection of our environment. Your local administrative office can advise you of the responsible waste disposal point.
WEEE Registration: 973 349 88.
SPL electronics GmbH
Sohlweg 80
41372 Niederkruechten
Fon +49 (0) 21 63 98 34 0
Fax +49 (0) 21 63 98 34 20
E-Mail: [email protected]
Follow us on our Blog, Youtube, Twitter, Instagram and Facebook:
Website & Blog: spl.audio
Facebook: facebook.spl.audio
Instagram: instagram.spl.audio
Twitter: twitter.spl.audio
Videos: youtube.spl.audio
© 2020 SPL electronics GmbH
This document is the property of SPL and may not be copied or reproduced in any manner, in part or fully, without prior authorization by SPL. Sound Performance Lab (SPL) continuously strives to improve its products and reserves the right to modify the product described in this manual at any time without prior notice. SPL and the SPL Logo are registered trademarks of SPL electronics GmbH. All company names and product names in this manual are the trademarks or registered trademarks of their respective companies.
Declaration of CE Conformity
The construction of this unit is in compliance with the standards and regulations of the European Community.



















