IMPLEN DiluCell NanoPhotometer User Manual
Thank you very much for your decision to use DiluCell™ in your laboratory.
DiluCell™ is especially designed for the usage with the OD600 DiluPhotometerTM for analysis ofsamples at a wavelength range of 340 nm to 950 nm. Due to the reduced pathlength DiluCell™ provides a virtual dilution without the need of a physical dilution of higher concentrated samples. Dilution is mainly necessary to remain within the dynamic range of the OD600 DiluPhotometerTM, which should be 0.1 Abs to 1.0 Abs.
The DiluCell™ 10 allows an automatic 1/10 dilution of the sample. The required sample volume is 300 µl. The following scheme explains the functionality of the DiluCell™ technology:
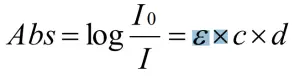
Lambert-Beer-Law

- Abs = measured absorbance value on your instrument screen
- I0 = incoming light
- I = outgoing light
- ε = extinction coefficient
- c = concentration
- d = path length (1 cm)

Virtual Dilution Factor of the DiluCell™
- DiluCell™ 10 => d = 1 mm
Operation Instructions
- Ensure the correct positioning of the DiluCell™ in your OD600 DiluPhotometerTM. Make sure that the wide window faces the light beam.
Important Notes: DiluCell™ will not work in any other orientation; do not mix other cuvette types within a DiluCell™ measurement series (for blank, etc.) - DiluCell™ is very easy to fill, the geometrical setup supports air bubble free sample application. It is recommended however that you check for air bubbles before the measurement. In case of an air bubble in the cell please remove it by gently tapping the cell.
Volume requirements are: 300 µl for DiluCell™ 10 - Remember to multiply the reading from your sample after the measurement with the proper virtual dilution factor:
Virtual dilution factor are: 10 for DiluCellTM 10 - It is not recommended to reuse DiluCell™ due to:
- high probability of cross contamination
- high probability of air bubbles when refilling the cell
- decontamination not easily possible (for cell culture measurements, e.g.)
Specifications
- Material: PMMA
- Wavelength Range: 340 nm – 950 nm
- Volume Requirement: 300 µl (DC 10)
- Pathlength: 1 mm (DC 10) at 15 mm center height
- Tolerance: +/- 10% (DC 10)
- Ordering Information: DC 10: DiluCell™ 10, pack with 96 cells
Limitations
Do not autoclave DiluCell™.
The DiluCellTM is approved only for the usage with the OD600 DiluPhotometerTM.
For solvent compatibility please contact your local Implen partner or the Implen Team at www.implen.de.
Features and specifications are subject to change without notice





















