HUMAN CARE 99621 Floorline LTC Wooden panel

Important!
You must read the user manual for your device prior to usage. Keep this booklet and information handy for future use.
Symbols
WARNING symbol indicates a potentially hazardous situation which, if not avoided, could result in serious injury to the user or damage to property and/or the device itself.
INFORMATION symbol indicates recommendations and information for proper, trouble-free usage.
WEIGHT CAPACITY symbol indicates maximum user weight for the product. Do not exceed this weight in any circumstance.
CE MARKING symbol indicates product meets requirements of EU Directive 93/42/EEC (MDD) and/or EU Regulation 2017/745 (MDR).
MEDICAL DEVICE symbol indicates that the product is a medical device according to the definition of medical device in EU Directive 93/42/EEC (MDD) and/or EU Regulation 2017/745 (MDR).
RECYCLE according to local regulations.
READ INSTRUCTIONS and ensure you fully understand them before using this product.
Product modification is not permitted.
Before use, always check that the product is not damaged or worn.
Human Care’s products are continuously being developed and updated to provide our customers with the highest quality. We reserve the right to make design changes without prior notice.
Always make sure that you have the most recent version of the manual which is available for downloading from our website at
www.humancaregroup.com. Contact your local distributor if you have any questions about the product and its use.
Notice to user/patient in case of serious incident
Any serious incident that has occurred in relation to the product, should be reported to the local contact, who reports to the manufacturer, and the competent authority of the country in which the user/patient is established.
Compliances and Standards
Human Care is an ISO 13485:2016 certified Swedish medical device company. The Quality Management System is in compliance with US 21 CFR part 820.
The product is CE marked in accordance with EU Directive 93/42/EEC (MDD) and/or EU Regulation 2017/745 (MDR), as class I medical device.
The CE mark is on the product. This bed complies with all requirements of the IEC/ISO International Standards: IEC 60601-2-52:2009
Product Description
This manual is valid for beds with part no:
White Finish
- 90600 = class 2
- 90602 = class 2
- 90604 = class 2
- 90606 = class 1
- 90608 = class 2
Wood Finish
- 90601 = class 2
- 90603 = class 2
- 90605 = class 2
- 90607 = class 1
- 90609 = class 2
Human Care beds are designed & manufactured to provide many years of safe operation and use, when operated in accordance with these instructions.
Each bed has been tested for safety and functionality, and has let the factory in perfect condition.
This User Manual informs you, as the operator, and your users, about all product features, complete assembly and all operating functions necessary to ensure ease of operation, and safe handling of this bed in its normal and expected environment.
You should therefore also regard this User Manual, as a practical reference book, to be kept near the bed and readily available at all times, for anyone involved in its use or operation.
We wish you and those using the bed, every success in looking after your patients, residents or guests in a safe, comfortable and multifunctional bed. is a warning triangle used for situations which require extra care and attention.
CAUTION!
Do not assemble or operate the bed, before reading this manual, as personal injury or damage to product may occur!
Please contact Human Care in the event of any uncertainties or questions.
Product lifetime
The product´s expected lifetime is ten (10) years, if the product is used as intended and maintained according to the manufacturer´s instructions, depending on the intensity of use and maximum load applied during use. If the product label is no longer legible, the product should be discarded.
Label

Sample only.
The label is placed on the lower left head end of the bed pointing outwards.
![]() | Read the manual |
![]() | Class 2 Electrical Protection – Double Insulation |
| CE marking | |
![]() | MD marking, Medical Device |
![]() | Address of manufacture |
![]() | Date of manufacture |
![]() | Maximum User Weight |
![]() | Safe Working Load |
![]() | Article number |
![]() | Type B – Equipment Providing Protection against Electric Shock |
![]() | Not for General Waste |
![]() | CODE 39 barcode, Serial number |
Technical Specifications
Nominal Specifications (mm/inch ‐ kg/lbs/st)
| |
| Mattress Platform Length (Standard) * | 2000 mm / 78¾” |
| Mattress Platform Length (with Extension Kit) * | 2175 mm / 85½” |
| Overall Bed Length (Standard‐Extended) * | 2150 mm ‐ 2325 mm / 84½” ‐ 91½” |
| Mattress Platform Width | 900 mm / 35½” |
| Overall Bed Width | 905 mm / 35½” |
| Mattress Platform Height Adjustment Range | 95 mm / 3¾” ‐ 700 mm / 27½” |
| Overall Weight of Bed (One‐piece) ** | 106 kg / 234 lbs / 16 st 10 lbs |
| Wheel Castor Size | 100 mm / 4” |
| Bed Operating Output Voltage | Max. 24 volts DC |
| Power Input Voltage / Frequency | 90600‐90603 and 90608‐90609: 230 volts, 50Hz 90604‐90607: 120 volts, 60Hz |
| Audible Acoustic Energy | < 45dB |
| Duty Cycle—Operating Time | 10% max. 2 min operation/18 min rest. |
| Electrical Protection Classification | 90606‐90607: Class 1 ‐ Earthed 90600‐90605 and 90608‐90609: Class 2 ‐ Double Insulation |
| IP Rating | IPX4 |
| Mains Power Amps | 90600‐90603 and 90608‐90609: Max 1.5 Amps 90604‐90607: Max 4 amps |
| Mattress Platform Panel Angles: Backrest Thigh Knee Calf Trendelenburg / Reverse Trendelenburg | 70° 45° 110° 25° 18° |
| Safe Working load (SWL): Mattess Base & Bed | 200 kg / 440 lbs / 31 st 7 lbs |
| Maximum User Weight (MUW) | 165 kg / 363 lbs / 25 st 14 lbs |
| * Beds are shipped normally in standard length (sleeping space of 2000 mm/78¾” x 900mm/35½”), But can be extended to 2175 mm / 85½”) with the addition of an Optional Extension Kit and Bolster. ** Not including accessory weight. All measurements are subject to commercial manufacturing tolerances. (E & OE) The BED SERIAL NUMBER is located on a silver label, on the side of the mattress platform beam, under the backrest panel at the head end of the bed, on the same side as the green castor. This number is required when requesting service, spare parts or ordering additional accessories. Record this number in the space provided, on the Front Cover and on the Check List. | |
Instructions for the operator:
Please pay attention to your obligations, as the operator, in order to ensure the permanently safe operation of this medical product, minimising risks to the patient, user and/or third parties.
Any piece of technical equipment, electrical or otherwise, can prove hazardous, if not properly operated and maintained in accordance with its User Manual. It is recommended that you are informed of all operations and perform regular maintenance on equipment.
Definitions:
Operator (e.g.: clinic, hospital, hospital management, nursing home), is every natural or legal person with property rights over the bed (including when subject to hiring, rental or lease arrangements).
Responsibility for the safe operation of this bed lies with the operator.
User
(specialist medical staff, nurses, doctors, attendants and care staff) are persons who, on the basis of their training, experience or thorough instruction, are entitled to operate the bed on their own responsibility, or to carry out work on it, or who have received instruction in the handling of this bed. Furthermore, they are able to recognize and avoid possible hazards as well as assess the clinical condition of the patients.
Patient, Resident or Guest
In this manual, a patient is described as any person being ill, infirm, disabled, in need of care, or otherwise occupying this bed.
Each time the bed is allocated, it is recommended that the patient is instructed in all the functions that are important for him/her, by the operator or user.
Structural Design
- Mattress Platform: The mattress platform is a four panel design, divided into a back rest, a seat section and a double panel kneebreak. The mattress base can be horizontally adjusted in height. The bed can be adjusted to head-low (Trendelenburg) or feet-low (Reverse Trendelenburg ) positions.
- Chassis:
The chassis is constructed of welded steel.
It features four individually locking castors that include: 3 red Brake Castors and 1 green Directional Lock Castor.
Electrical Adjustment System:
The electric adjustment system comprises:
- The Handset for patient control of the bed’s positions is a ‘remote-control’ attached via a curly cord, to the bed’s control box; consisting of a robust, easy-care, wash-down plastic casing with a membrane keypad.
- Actuators for adjusting and controlling the backrest, kneebreak and the bed heights.
- The Linak Control Box Unit and Battery Backup (if this option is fitted), are located underneath the Backrest Mattress Platform Panel. They contain a low-voltage, safe 24V transformer. The electric motors/actuators, the battery backup and the handset (24V) are connected to the Control Box via dust and moisture-proof plugs and cords/cables.
- Battery Backup is an optional accessory which allows for off-mains emergency operation for up to 15 minutes under a normal load.
- Electrical protection of wiring and cords will differ between Class 1 (Earthed) and Class 2 (Double Insulation) Beds.
Standard features
- Handset
The Handset permits patients to control and adjust their own bed, to different positions, to suit their changing comfort levels throughout their stay in bed. - Auto‐Contour
A Handset feature that uses one button
to adjust both Backrest & Kneebreak simultaneously, into a cardiac chair position, even when the bed is in it’s lowest height position. - Backrest
The backrest is a large mattress panel that raises from a supine position to an upright position, convenient for sittng, which allows a patient to enjoy the flexibility of changing to multiple positions for comfort and health. - Kneebreak
The kneebreak is a double mattress panel that splits as it electronically lifts or bends the patient’s thigh and calf at the knee, thus combining functionality and comfort for both the patient and carer.
Application environments
This product is applicable to: Environment 3: Medical area, long term care Long-term care in a medical area where medical supervision is required and monitoring is provided if necessary and ME EQUIPMENT used in medical procedures may be provided to help maintain or improve the condition of the patient.
- Note: This includes use in nursing homes, rehabilitation and geriatric facilities.
- Note: The bed may only be moved within the patient room for cleaning or patient access.
Environment 4: Domestic care: Ergonomic requirements are normative
Care provided in a domestic area and ME EQUIPMENT is used to alleviate or compensate for an injury, disability or disease.
NOTE: This excludes use in all other application environments (e.g. nursing homes, rehabilitation and geriatric facilities) when a medical bed is purely designed for application environment 4.
Intended Use
This bed is designed for use in aged care and long -term care facilities or homes, for the purpose of providing comfort and quality care for any person being ill, frail, disabled, or in need of special care.
This bed may only be operated by persons who have received instruction in its safe operation. The bed may only be operated under the conditions of duty described in this manual.
ANY OTHER USE SHALL BE REGARDED AS NONCOMPLIANT WITH SAFE, LEGAL AND CORRECT USAGE AND MAY INVALIDATE WARRANTY.
The head and foot end pedestal covers of the bed are ABS plastic. The bed also comprises electrical componentry and cables. All the surfaces are non-harmful, upon coming into contact with the skin.
Optional Accessories
It is important that only Human Care accessories are fitted to Human Care beds, as any incompatible accessories can create hazards.
Wall Bumper Bar
The Wall Bumper Bar protects the head end of the bed. It is fitted to the lower cross beam between the castors.
Mattresses
The medical bed is designed for use with specific mattress types and dimensions measuring 1980mm (78”) long by 900mm (35”) wide and 125mm (5”) deep. It is imperative to use this size mattress to reduce the risk of entrapment and falls.
Incompatible mattresses can create hazards.
Battery Backup
The Battery Backup allows for operation of the bed, should mains power fail, or if the bed is being operated temporarily away from mains power. The battery can operate for a total time of up to 15 minutes under a normal load. Make sure not to exceed the duty cycle (2 min operation, 18 minutes rest).
To ensure long battery life, the bed should be connected to mains power, at all possible times. If the backup battery becomes flat, raising/ lowering functions will slow down or cease. A replacement should be ordered and fitted.
Batteries in good condition will normally recharge in 12 hours or overnight when the bed is plugged back into the mains power supply. Extended periods without mains power will make the batteries unable to be recharged or operate at all. A replacement unit will need to be ordered and fitted.
Self Help (SH) Pole
The Self Help Pole is used by a patient to assist movement within the confines of the bed. The Self Help Pole has a safe working load of 75kg (165lb).
Intravenous (IV) Pole:
The IV Pole is used by nurses to hang drip bags to deliver a patient’s IV medication. The safe working load of the IV Pole is 7kg (15lb).
Both poles may NOT be used for any other purpose.
The adjustable IV and Self Help Poles can be fitted to either/both ends of the bed with a pole bracket that is supplied with the pole.
Care Assist Rails
Designed to assist patients safely in and out of bed, it is ergonomically designed and low profile to avoid feeling restricted or restrained.
Side Rails and how to fit side rails
Human Care recommends against the use of side rails however Human Care is aware that in some cases, side rails can be expected for care.
Only authentic Human Care side rails should be fitted to a Human Care true floor-level bed, as any incompatible side rails may cause damage and/or injury.
Human Care offers side rails in three different versions: ¾ length, ½ length and ¼ length.
Using the side rails
When lowering the bed ensure that the castors are positioned so the side rails will not damage the castors.
Collapsing:
Raising:

Caution! pinch point. 
Fitting the side rails
Please see separate assembly instruction.
Extension Kit
The sleeping space of the bed is extended by 175mm (7”) with the addition of this kit. A bolster mattress is available, measuring 175mm (7”) long by 900mm (35”) wide and 125mm (5”) deep.
The standard length of the FloorLine LTC bed’s mattress platorm is 2000mm (783/4 ”) measured internally between the head and foot pedestal ends (sleeping space).
An optional Bed Extension Kit may be purchased separately, that when fitted will lengthen the sleeping space by 175mm (7 ”) to 2175mm (851/2 ”) to accommodate taller people. The overall bed length also extends.
At the foot end of the mattress platform beams, extension brackets will replace the standard brackets and an additional mattress platform panel is fitted over the extension brackets.
A matching mattress bolster is also available as an optional extra to complement the existing Human Care mattress.
Extension Kit Contents
- 2 x Extension Brackets
- An Extension Mattress Platform Panel (F8)
- 4 x Extension Panel Platform Bolts/Nuts
- Full instructions to fit the extension.

Required Tools
- A Mains Power Outlet/Power-Point
- A 4mm & a 5mm Allen Key
- A 10mm & 13mm Spanner/Socket Wrench
- A 100mm2 Wood Block to support frame
- A Penknife
Qualified assembly persons must be very familiar with this User Manual and all facets of bed assembly and operation.
Fitting the extension kit
- Confirm the kit’s contents.
- Clear sufficient space to conduct installation and remove the mattress and any side rails from the bed.
- Ensure all castors are aligned and locked under the outrigger castor beam.
- Position the Wood Block directly under the kneebreak actuator cross beam. This will support the main bed frame when the
- Confirm that mains power is connected.
- Using the handset, flatten out/neutralise the bed functions (Backrest, Kneebreak, Trendelenburg positions).
- Lower the bed carefully down onto the wood block. The foot end wheel castors should just gently lift off the floor.
- Unplug the mains power cable from the from the wall and keep cable safe.
- Lift the kneebreak panel for easy access to the Lifting Actuator Cable, the Stepped Pivot Bolts and Countersunk Bolts.
- Using a penknife, carefully remove the white plastic retaining clip, from the Foot End Actuator Mini-Fit Connector.
NOTE: Do not lose retaining clip! - Disconnect the foot end lift actuator cable from its Mini-Fit Connector.
Do not use handset again until foot end actuator is re-connected electrical damage may occur! - Loosen but DO NOT REMOVE the two foot end Bracket Stepped Pivot Bolts (4mm Allen key) and their Nyloc Nuts (10mm spanner).
- Remove the 2 Foot End Bracket Nyloc Nuts (13mm spanner) and Countersunk Bolts (5mm Allen key).
- Return the kneebreak panel back into place.

- Carefully fold the Foot End Pedestal flat onto the mattress platorm.
- Now remove the two Foot End Bracket Stepped Pivot Bolts.
NOTE: Keep all nuts, bolts and washers safe. - Carefully lift and move Foot End Pedestal away from the bed frame, to a safe place, away from work area.

- Lift the kneebreak panel again for easy access to the Platform Bolts on the end of the mattress platform beams.

- On one side of the bed, remove the 4 x Foot End Platform Nyloc Nuts (13mm spanner) on the Platform Bolts that attach the standard bracket to the mattress platform beam.

Do not remove the platform bolts. - Remove the standard bracket and fit the new extension bracket, onto the bolts. Keep extension bracket support tab to the under side of frame.

- Repeat steps 19-20 for the other beam’s extension bracket

- Re-tighten all 8 x bracket bolts and nuts.
Always keep unused brackets! Label (with model and serial number) and store them for future use. - Place the extension panel over the beam extension brackets and using the 4 x extension panel platform bolts, in the kit, fit and tighten them all with the 13mm spanner and 5mm Allen key.

- Fold the kneebreak panel flat.
- Replace the foot end pedestal frame back on top of the mattress platform.
- Replace the Pivot Bolts from the outside.
- Note 1: The Nylon Washer sits between the metal plates (Foot End Pedestal & Foot End Bracket).
- Note 2: The Metal Washer sits next to the nut.
- Unfold pedestal to an upright position and replace the Countersunk Bolts.
- Re-tighten (VERY TIGHT) all bolts. Gently rocking the pedestal end in a completely vertical position, will aid this.
- Tighten ALL Nyloc Nuts (Countersunk Bolts and Pivot Bolts) to prevent these bolts from coming loose.
- Reconnect the actuator cable into the mini-fit connector, securing retaining clip.
- Reconnect the mains power.
- Re-check all bed functions with the handset.
- The bed may now be put back into service with a mattress bolster.
Removing the extension kit
To remove an Extension Kit from a bed, follow the above instructions in reverse.
Human Care strongly recommends against the use of side rails as they can cause death and injury.
Do not use forklifts or mechanical handling equipment to lift this bed unless it is in its original carton!
Always ensure that:
- Qualified personnel, only, attend to bed maintenance. Do Not open or tamper with any part of the bed, as this may be dangerous and invalidate the warranty.
- All locking bolts, pins, screws and circlips are fully in place, engaged and correctly tightened before use, and are regularly checked to be secure, by qualified maintenance personnel.
- The battery, is plugged into the control box.
- The bed is not placed against walls that have power-outlets, window sills or timber rails.
- The bed is clear from over-bed or bedside tables, or other furniture which could impede free movement of the bed.
- The mattress platform is at least 200mm (8“) clear of the floor, before moving the bed.
- Moving the bed is done safely. Proper footwear should be worn, and care should be taken to avoid running over other people’s toes!
- Self-help and IV poles are lowered or removed, if moving under low doorways, near equipment or low lights.
- All brakes are unlocked, before moving the bed.
Always ensure that users, patients, residents and guests know that:
- NEVER SIT ON BED EDGES, when backrest is being raised; damage may occur.
- Never place feet on castor support frames (outrigger), at any time.
- Check that all cables and cords are clear of obstructions, that may interfere with bed movement. Bed movement may cut cords and cables if they are caught in the movement.
- Before using bed controls, ensure all bed panels can move freely. Check that nothing is below the mattress base, backrest, kneebreak or castor outrigger when the bed is operating. Do not lower the bed to minimum height, if feet, slippers, or any other object is under the mattress base.
At the time of leaving the factory, this bed represents quality in design, technology and innovation. The most important objective of this safety advice is to prevent injury.
Safety Advice
Safety Symbol
In this manual the adjacent safety warning symbol is shown as:
This safety symbol does not replace all the written safety advice. You are instructed to read the safety advice and follow it precisely.
Safety for the operator
With the aid of this manual, which must be handed over together with the bed, you must ensure that every user is instructed in the safe operation of the bed before it is put into service for the first time.
Draw every user’s attention to the possible hazards that can arise if the bed is not used properly.
This applies in particular to using the electrical drives and side rails (if fitted). Human Care strongly advises against the use of side rails.
Incompatible side rails can create hazards
Pay attention to your obligations in order to ensure the permanently safe operation of this medical product to minimise all risks to the patient, user and/or third parties.
If the bed is in long-term use, it is important after a reasonable period of time, to test all of the functions, and to check for functional and visual damage.
Regular preventative maintenance is the Operator’s responsibility.
Only allow this bed to be used by persons who have been instructed in its safe operation.
Make sure that stand-in or temporary staff are sufficiently well instructed in the safe operation of the bed.
Safety advice for the user
Make sure that the operator instructs you in the safe operation of this bed.
When a patient’s condition could lead to patient entrapment, the mattress platform must be left in the flat position.
Each time, before using the bed, check that it is in perfect working order.
If any damage or a malfunction is suspected, immediately unplug the bed from the mains supply, mark the bed clearly as being “OUT OF ORDER” and take it out of service.
Make sure that there are no obstacles (eg: bedside lockers, chairs, hoists, wall mounted fixtures, or equipment etc.) which could impede any adjusting or movement of the bed.
Cables and cord safety
To maintain safe function of the bed and any external components, attention to cord and cable placement is extremely important.
- Route the mains cable in such a way that when operating the bed it cannot get pulled, be cut, or be driven over, or be damaged by any moving parts.
- When using external electrical equipment, such as patient hoists/lifts, reading lamps etc., make sure that the electrical cables cannot get caught in, or get damaged by, parts of the bed.
- When not is use, stow the handset in such a way that it cannot inadvertently fall onto the floor; and make sure that the cable cannot get damaged by moving parts of the bed.
- Before moving the bed, it is important to raise the mattress platform to at least 200mm (8”) above floor level, then unplug it from the mains power supply. Stow the mains cable safely on a suitable handset holder on the head end pedestal, to ensure that it cannot trail on the floor.
To safeguard the patient and particularly children
It´s recommended that this bed is only used with adults, and children over 14 years of age.
Always inform the patient about safe operation of the bed’s controls. If the patient is unable to operate the bed safely or free themselves from potentially dangerous positions, they could be placed at risk through inadvertent adjustment of the electrical functions.
- It is recommended that children are never left unsupervised in a room with the bed.
- Place the handset beyond reach of children or ‘at risk’ patients, to prevent inadvertently initiating power adjustments of the bed. Any adjustments may then only be carried out by or in the presence of a person instructed in the proper operation of the bed.
- Always ensure that the mattress platform has travelled to its lowest position before leaving an ‘at risk’ patient in the bed unattended. In this way, you greatly reduce the risk of patient injury as a result of falling out of bed.
- If a patients’ condition contains a risk of entrapment, then the mattress platform should always be left in a flat position.
- Take care with the use of side rails. If the side rails are raised, there is a risk of limbs getting trapped or crushed on adjusting the backrest or kneebreak. Human Care strongly recommends against the use of side rails.
- Do not pour liquids on any part of the bed end panels or close to parts containing electrical componentry, which could damage the electronics.
Checks and inspections
Make sure to follow maintenance instructions to ensure safe use ot the bed.
Assembly/Disassembly Instructions
Requirements
- A Mains Power Outlet/Power-Point
- A 5mm Allen Key for countersunk bolts
- A 13mm Spanner/Socket Wrench for Nyloc nuts.

- The bed is delivered, folded and packed in one carton with it’s own handset. Ensure the bed carton is received in the correct upright position, as marked on the carton.

- Place Head Pedestal End (the side with the green castor) against a wall. One person must support the bed from prematurely unfolding. The second person uses the 13mm spanner, to remove the two Foot End screws.

- Remove the 2 centre platform lanyard pivot pins (one on either side) of the centre hinge.

- Unlatch the metal transport latch that holds the beams together, located on one side, near the red castors. (One person still supports the bed from unfolding)

- Standing either side of the centre section, unfold the mattress platform. Take care not to trap fingers when unfoldning!

- Re-insert the 2 locking lanyard pins, to lock the mattress platform into a flat position.

- Raise the Head end and foot end pedestal on each side into an upright position and re-fit the two screws. (one on each side)

- Attach the mattress retainers on both sides of the bed. 2 on each side.

- Plug the Mains Power Cable into the Power-Point/Wall Socket and start using the bed. NOTE: Back-Up Battery (if fitted) will take 24 hours to charge, before it can be used.

Fit optional accessories
- Add any ordered optional accessories (e.g. Extension Kit, Rails, Self-Help or IV Poles).
- Re-check that all nuts, bolts, pins and screws are securely tightened.
Test all bed functions with handset
- Visually check that the bed looks stable.
- Lower the mattress platform to the lowest floor level position to confirm that the mattress platform is completely horizontal.
NOTE! The platform is designed to have a small positive camber in the centre that settles with use. - Now, using the handset, test all of the bed’s 10 functions for correct and quiet operation to the full travel range for each position: Highest and Lowest Mattress Platform positions, Backrest, Kneebreak and Auto
- Contour and Trendelenburg and Reverse Trendelenburg positions.
- Store handset in suitable handset holder on the head end pedestal of the bed.
- Confirm working order of all other attached accessories.
- Ensure the bed is fully cleaned before placing the mattress or bedding on the bed and puttng the bed into service.
Lock all castors safely under the outrigger beams to avoid a possible tripping hazard.
Disassembly
Do the assembly instruction in reverse.
Operation Instructions
Before putting this bed into service for the first time
Read through this User Manual completely; understanding all operations and functions. Pay special attention to all safety issues, so as to prevent injury to persons, or damage to the bed or environment, due to incorrect operation.
- Confirm that the electricity supply and the wall power-point/outlet/socket are both compatible with the bed’s voltage requirements and the bed’s mains supply cable plug. This will differ between countries.
- Inspect the mains supply cable for perfect condition. Check for any damage in transit.
- Fully unpack and assemble the bed and attach all accessories.
- Confirm that all cables and cords (eg mains power supply cable, motor cables and handset cable) are connected and securely routed out of the way of all the bed’s moving parts, so they can not be damaged. Also confirm that there are no obstacles, (eg bedside cabinets, chairs, or wall fixtures, etc.) which could impede adjustment of the bed.
- Confirm that all locking nuts/bolts, pins and fasteners are fully engaged and correctly tightened. Ensure that the battery is plugged into the control unit. Regular checks are recommended.
- For safety, ensure that all bed wheel castors are locked unless the bed is being moved.
- Test that the bed and all its accessories (including all adjustment functions) are all fully functioning and in perfect working order.
- Clean and disinfect the bed prior to placing the mattress and any bedding on the bed, for first time use.
Putting the bed into service
- Read and follow the previous section, including reading this complete User Manual, and attending to all safety issues & operation usage.
- Confirm wheel castors are locked.
- Ensure complete floor and wall clearance for all bed movements.
Provided the above has been complied with, the bed may now be put into service.
- Confirm that the wall power switch is OFF (in countries where this applicable).
- Plug the mains supply cable into the wall powerpoint/ socket/outlet.
- Turn ON the wall switch at the powerpoint,(country-determined).
NOTE! This bed should be connected to the mains power supply and remain switched on at all times, to guarantee that the bed’s battery backup is adequately charged and ready for operation at any time.
Putting the bed back into service
- Read and follow the previous two sections, completely reading this User Manual and attending to all safety issues & operation usage.
- Conduct a complete Maintenance Check, for safe bed functioning and perfect working order. Especially check for the safe routing of all cables/cords and clearance for all bed adjustments.
- Verify wheel castors are locked.
- Confirm bed is cleaned and disinfected.
- Confirm mains wall power is OFF and remove plug/cord from wall.
- Re-examine the mains cord/plug for damage while out of use.
- Reinsert plug/cord into wall socket.
- Turn ON the wall switch (in countries where this is applicable) and leave permanently on, for charging back‐up battery.
Mattress Platform Positions
- True Floor-Level – 95mm (3¾”) off floor
- Highest Platform Height 700mm (27½”)
- Backrest Panel – 70°
- Thigh Panel – 45° }operate together as
- Calf Panel – 25° }the kneebreak panel
- Kneebreak Position – 110°
- Trendelenburg Tilting Position – 18°
- Reverse-Trendelenburg Tilt Position – 18°
- Head High Trendelenburg Tilt Position – 45°
- Head Low Trendelenburg Tilt Position – 45°
The Handset

- Back rest down
- Hi-lo down
- Knee break down
- Auto contour down
- Trendelenburg tilt
- Back rest up
- Hi-lo up
- Knee break up
- Auto contour up
- Reverse Trendelenburg tilt
The Handset is directly connected to the control box, via a curly cord. Each button has a Raise (Left Side) and a Lower (Right Side) function that adjusts all mattress platform positions.
NOTE! All buttons should be explained to patients.
Lockout

A small blue plastic ‘lock out key’ is included, to lock any function on the bed:
- Insert the key into the two holes in the button you wish to lock out
- Gently turn the key from the ‘green’ – 12 o’clock position toward the unlock or lock symbols at 11 or 1 o’clock positions respectively.
Gently turn the lockout key in the holes, or key tabs may break.
To immediately stop movement release the handset button!
- Only press one button at a time. When desired position is reached, release the button.
- When maximum raised or lowered positions of mattress base or backrest are reached, a built-in limit switch will automatically override the handset button and movement will stop.
- Do not continue to press any button after desired position is attained!
Movement in the opposite direction will be resumed when the appropriate button is pressed.
- The handset may be stored by clipping it into the mattress retainers (side of mattress platform) or over the Head/Foot Ends.
- No Lockout function or key is available with this handset type.
Castors and brakes
The FloorLine LTC bed is fitted with 100 mm (4”) Wheel Castors.
The set of Wheel Castors comprises:
- GREEN Steering/Directional Castor
- RED Braked Castors

Directional steering lock castors
- The Directional Lock (green) is located on one castor at the head end.
- To aid a smooth and straight path down a hallway, orientate the directional/steering wheel, so it is parallel with the side edge of the bed and then depress the lock lever to the “ON” position with your shoe, permitting a straight forward or backward bed movement.
- The wheel itself can be positioned towards the front or the back of the castor outrigger but it is recommended to point down the bed’s length.
- The Directional Lock Castor should be engaged to the “ON” position at all times.
- To release the Directional Lock, depress the “OFF” lever.
Braked castors
- Braked Castors (red) are locked by depressing the front of the pedal on each castor lever. This is done by foot pressure when wearing appropriate protective shoes.
- To release Braked Castor re-depress the top of the castor lever until it unlocks.
If brakes are not released and the bed is forcibly moved when the wheels are locked, the treads may be damaged.
Do not attempt to set or release the brakes using your hands or fingers as injury may occur.
Whilst bed is being used, always ensure castors are turned inwards and locked.
Always ensure all castors are locked if bed is vacant or being stored.
Moving the bed
Before moving the bed in its bed position:
- Raise the mattress platform to a minimum of 200mm from the floor.
- Release all castor brakes.
- Engage the directional lock to assist with steering.
- Always remove Self Help and IV Poles to avoid accidental injury.
The FloorLine LTC bed is a one-piece design and may be moved and stored in a folded position, where it rests on all four castors. To fold the bed.
Before moving the bed in its folded position:
- Ensure the transport latch and two centre platform lanyard pivot pins are securely in place, and bed clears the floor by 50mm (2”).
- Safely store both handset and mains power cables over the folded bed to prevent them from dragging on the floor.
- Lock and align green directional castor with the width of the bed to assist with steering.
- Ensure all red braked castors are unlocked.
- Push bed while walking along side it, with the green directional steering castor in front.
Always push forwards along narrow edge to prevent bed from becoming unstable, if forced over a floor hazard!
Never push bed sideways along folded edge!
- Take extra care pushing the folded bed on carpet, as extra resistance can cause instability.
Folding the bed for storage (Requires two persons)
- Please see the assembly instruction step
- 8 and do them in reverse.
- Using the handset, raise the bed 50mm (2”) from the floor to prevent the bed from dragging and scratching both bed and floor surfaces.
- Safely store both handset and mains power cables over the folded bed to prevent them from dragging on the floor.
Always ensure all castors are locked if bed is vacant or being stored.
Never lie or store the bed flat on it’s side with Head/Foot Pedestal Ends parallel to the floor.
Maintenance and service
Inspection, care and maintenance check list
User inspections should be carried out every 6 months, for the life of the bed. Care should be taken when performing maintenance.
| Check: See bed description, accessories and all functions |
| OK | Faults: Action Cleaning Parts to Order |
| VISUAL CHECK of the Electrical Components | |||
| Cables ‐ Plugs (Clips) | No Cracks/Breaks, Correct Routing & No Hanging Cables | ||
| Actuators Control Box Unit Battery Back‐Up Unit (if Fitted) | No Cracks/Breaks/Dents/Corrosion Securely Fitted | ||
| Handset | Casing/Membrane Faceplate Intact Securely Fitted | ||
| VISUAL CHECK of the Mechanical Components | |||
| Mattress Platform Panels ‐ Bed Extension Head & Foot End Covers Chassis (Bed Base) ‐ Bed Extension Side Rail Brackets | No Cracks/Dents No Paintwork Flaked/Corroded Bracket Screws are Tight Clean & Securely Fitted | ||
| Castors & Tyres | Swivel Independently Test Brakes/Directional Locking Clean & Tightly Secured | ||
| Nuts/Bolts, Screws/Pins, Lanyards/ Clips, Hinges/Mounts/Bushes‐component fixing points | Wear/Damage, Tighten & Secure Clean & Free | ||
| Accessories (eg Wall Bumper, Mattress, SH & IV Poles, Care Assist & Side Rails) | Intact, Clean & Securely Fitted | ||
| Labels: Serial Number, Service, User/ Service Manuals | In Place & Readable | ||
| PERFORMANCE CHECK of all Electrical/ Mechanical Functions Using all buttons on the Handset. ‐ (see Technical Specifications) | |||
| Platform Hi‐Lo True Floor Level Highest Platform Level | Test perfectly parallel to floor Confirm Full Range at all 4 corners Quiet & Smooth Operation | ||
| Backrest | Confirm Full Range Quiet & Smooth Operation | ||
| Kneebreak (thigh & calf panels) | Confirm Full Range Quiet & Smooth Operation | ||
| Trendelenburg & Reverse Trendelenburg | Confirm Full Range at all 4 corners Quiet & Smooth Operation | ||
| Battery Backup ‐ Disconnect Mains Power to Test | Check Fully Charged & Operational | ||
| Accessories | Confirm Full Operation | ||
| Inspector’s Name: | Inspector’s Signature: | ||
| Inspection result: | Date: | ||
If any problem persists, please call the customer service in your country.
Serial No:
- Please quote the individual BED SERIAL NUMBER, to order Spare Parts or request a Service Call.
- It is highly recommended that only Human Care authorised accessories/parts are used on Human Care beds. The Warranty may be invalidated, and injury or damage may occur, if other parts are used.
Cleaning
- Human Care beds can be safely cleaned with all common hospital cleaning agents.
- Wipe all surfaces with a soft hygienic cloth moistened with hot water and a mild cleaning solution (a detergent or disinfectant recommended by your facility or hospital). Extra care should be taken with areas that harbor dirt or dust. Rinse with clean water and dry with paper towels, before replacing mattress.
- To clean potentially infectious material such as body fluids. Clean the bed with a disinfectant solution.
Human Care beds are not intended for use with high pressure or jet steam washing procedures!
Do not pour liquids on any bed part close to end panels or any parts containing electrical componentry, electronics may be damaged!
EMC table
| Guidance and manufacturer´s declaration Electromagnetic Emissions | ||
| The Medical Bed is intended for use in the electromagnetic environment specified below. The customer or the user of the Medical Bed should ensure that it is used in such an environment. | ||
| Emissions Test | Compliance | Electromagnetic Environment Guidance |
| RF Emissions CISPR 11 | Group 1 | The Medical Bed uses RF energy only for its internal function. Therefore, its RF emissions are very low and are not likely to cause any interference in nearby electronic equipment. The Medical Bed is suitable for use in all establishments, including domestic establishments and those directly connected to the public low-voltage power supply network that supplies buildings used for domestic purposes. |
| RF Emissions CISPR 11 | Class B | |
| Harmonic Emissions IEC 61000-3-2 | Class A | |
| Voltage Fluctuations / Flicker Emissions IEC 61000-3-3 | Complies | |
| Guidance and manufacturer´s declaration Electromagnetic Immunity | |||
| The Medical Bed is intended for use in the electromagnetic environment specified below. The customer or the user of the Medical Bed should ensure that it is used in such an environment. | |||
| Immunity Test | IEC 60601 Test Level | Compliance Level | Electromagnetic, Environment Guidance |
| Electrostatic Discharge (ESD) IEC 61000-4-2 | ± 6 kV Contact ± 8 kV Air | ± 6 kV Contact ± 8 kV Air | Floors should be wood, concrete or ceramic tile. If floors are covered with synthetic material, the relative humidity should be at least 30%. |
| Electrostatic Transient / Burst IEC 61000-4-4 | ± 2 kV Power Supply Lines ± 1 kV | ± 2 kV Power Supply Lines ± 1 kV | Mains power quality should be that of a typical commercial or hospital environment. |
| Surge IEC 61000-4-5 | ± 1 kV Differential Mode ± 2 kV | ± 1 kV Differential Mode ± 2 kV | Mains power quality should be that of a typical commercial or hospital environment. |
| Voltage Dips, Short Interruptions and Voltage Varitions On Power Supply Input Lines IEC 61000-4-11 | < 5 % UT (>95 % dip in UT) for 0.5 cycle 40 % UT (60 % dip in UT) for 5 cycles 70 % UT (30 % dip in UT) for 25 cycles < 5 % UT (>95 % dip in UT) for 5 sec | < 5 % UT (>95 % dip in UT) for 0.5 cycle 40 % UT (60 % dip in UT) for 25 cycles | Mains power quality should be that of a typical commercial or hospital environment. If the user of the Medical Bed requires continued operation during power mains interruptions, it is recommended that the Medical Bed be powered from an uninterruptable power supply or a battery. |
| Power Frequency (50/60 Hz) Magnetic Field IEC 61000-4-8 | 3 A/m | 3 A/m | Power frequency magnetic fields should be at levels characteristic of a typical location in a typical commercial or hospital environment. |
| NOTE: UT is the a. c. mains voltage prior to application of the test level. | |||
| Guidance and manufacturer´s declaration Electromagnetic Immunity concerning Conducted RF and Radiated RF | |||
| The Medical Bed is intended for use in the electromagnetic environment specified below. The customer or the user of the Medical Bed should ensure that it is used in such an environment. | |||
| Immunity Test | IEC 60601 Test Level | Compliance Level | Electromagnetic, Environment Guidance |
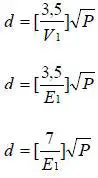
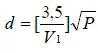
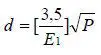
| Conducted RF IEC 61000-4-6 Radiated RF IEC 61000-4-3 | 3 Vrms 150kHz – 80 MHz 3 V/m 80 MHz – 2.5 GHz | 3 V 3 V/m | Portable and mobile RF communications equipment should be used no closer to any part of the Medical Bed, including cables, than the recommended separation distance calculated from the equation applicable to the frequency of the transmitter. Recommended separation distance
80 MHz to 800 MHz |
| d is the recommended separation distance in metres (m). P is the maximum output power rating of the transmitter in watts (W) according to the transmitter manufacturer.
NOTE 1 Interference may occur in the vicinity of equipment marked with the following symbol: Electromagnetic propagation is affected by absorption and reflection from structures, objects and people. | |||
| Guidance and manufacturer´s declaration Recommended Separation Distances between portable and mobile RF communications equipment and the Medical Bed | |||
| The Medical Bed is intended for use in an electromagnetic environment in which radiated RF disturbances are controlled. The customer or the user of the Medical Bed can help prevent electromagnetic interference by maintaining a minimum distance between portable and mobile RF communications equipment (transmitters) and the Medical Bed as recommended below, according to the maximum output power of the communications equipment. | |||
| Rated Maximum Output Power of transmitter (W) | Separation Distance according to frequency of transmitter ( m ) | ||
150 kHz to 80 MHz![]() | 80 MHz to 800 MHz![]() | 800MHz to 2.55 GHz![]() | |
| 0.01 | 0.12 | 0.40 | 0.40 |
| 0.1 | 0.37 | 1.26 | 1.26 |
| 1 | 1.17 | 4.00 | 4.00 |
| 10 | 3.69 | 12.65 | 12.65 |
| 100 | 11.67 | 40.00 | 40.00 |
| For transmitters rated at a maximum output power not listed above, the recommended separation distance (d) in metres (m) can be estimated using the equation applicable to the frequency of the transmitter, where P is the maximum output power rating of the transmitter in watts (W), according to the transmitter manufacturer. NOTE 1 NOTE 2 | |||
Trouble shooting
Read all general guidelines, warnings and cautions before performing any repair/ maintenance on the bed. All repair and maintenance on the bed should be performed by a qualified technician.
| Problem | Cause | Remedy |
| No functions | No power to system | Check the mains and/or battery connections |
| Bed stops operating | Over temperature safety cut-off operated | Level bed to cool down |
| Actuator will drive OUT but not IN | Position lost on actuator | Try Initialization Procedure. If problem persists, replace actuator |
| Actuator will not drive IN/OUT Intermittent beeping from control box when button is pressed. | Cable to actuator disconnected or faulty Actuator faulty | Replace faulty component. Perform Reset/Initialization Procedure |
| One or more actuators stop while driving | Actuator is overloaded | Reduce or remove load on bed and try again |
| HI-LO actuators will not drive IN/ OUT | Cable to actuator disconnected or faulty, Actuator faulty | Replace faulty component
|
Recycling
Incorrect disposal of this equipment and its component parts, particularly batteries and other electrical parts, may produce substances that are hazardous to the environment. Dispose of in accordance with all applicable national and local regulations. EU WEEE and RoHS Directives require this product not to be disposed of in general waste. Construction Materials The bed is built mostly from steel, or stainless steel. The surfaces have been finished with an electro-coated powder coating.
HUMAN CARE SWEDEN
(HQ) Årstaängsvägen 21B
117 43 Stockholm
Phone: +46 8 665 35 00
Fax: +46 8 665 35 10
Email: [email protected]
HUMAN CARE CANADA
10-155 Colonnade Road
Ottawa, ON K2E 7K1
Phone: +1 613 723 6734
Fax: +1 613 723 1058
Email: [email protected]
HUMAN CARE UNITED STATES
8006 Cameron Road, Suite K Austin, TX 78754 USA
Phone: +1 512 476 7199
Fax: +1 512 476 7190
Email: [email protected]
HUMAN CARE NEDERLAND
Elspeterweg 124
8076 PA Vierhouten
Phone: +31 577 412 171
Fax: +31 577 412 170
Email: [email protected]
www.humancaregroup.com

WARNING symbol indicates a potentially hazardous situation which, if not avoided, could result in serious injury to the user or damage to property and/or the device itself.
INFORMATION symbol indicates recommendations and information for proper, trouble-free usage.
RECYCLE according to local regulations.
READ INSTRUCTIONS and ensure you fully understand them before using this product.











NOTE: Keep all nuts, bolts and washers safe.


Do not remove the platform bolts.



































