behringer VS1520 EUROLIVE High-Performance 600-Watt PA Speaker User Manual

EUROLIVE
VS1520/VS1220F/VS1220
High-Performance 600-Watt PA Speaker with
15″/12″ Woofer and Electro-Dynamic Driver
V 1.0
Important Safety Instructions

Terminals marked with this symbol carry electrical current of sufficient magnitude to constitute risk of electric shock. Use only high-quality professional speaker cables with ¼” TS or twist-locking plugs pre-installed. All other installation or modification should be performed only by qualified personnel.
This symbol, wherever it appears, alerts you to the presence of uninsulated dangerous voltage inside the enclosure – voltage that may be sufficient to constitute a risk of shock.
This symbol, wherever it appears, alerts you to important operating and maintenance instructions in the accompanying literature. Please read the manual.
Caution
To reduce the risk of electric shock, do not remove the top cover (or the rear section). No user serviceable parts inside. Refer servicing to qualified personnel.
Caution
To reduce the risk of fire or electric shock, do not expose this appliance to rain and moisture. The apparatus shall not be exposed to dripping or splashing liquids and no objects filled with liquids, such as vases, shall be placed on the apparatus.
Caution
These service instructions are for use by qualified service personnel only. To reduce the risk of electric shock do not perform any servicing other than that contained in the operation instructions. Repairs have to be performed by qualified service personnel.
- Read these instructions.
- Keep these instructions.
- Heed all warnings.
- Follow all instructions.
- Do not use this apparatus near water.
- Clean only with dry cloth.
- Do not block any ventilation openings. Install in accordance with the manufacturer’s instructions.
- Do not install near any heat sources such as radiators, heat registers, stoves, or other apparatus (including amplifiers) that produce heat.
- Do not defeat the safety purpose of the polarized or grounding-type plug. A polarized plug has two blades with one wider than the other. A grounding-type plug has two blades and a third grounding prong. The wide blade or the third prong are provided for your safety. If the provided plug does not fit into your outlet, consult an electrician for replacement of the obsolete outlet.
- Protect the power cord from being walked on or pinched particularly at plugs, convenience receptacles, and the point where they exit from the apparatus.
- Use only attachments/accessories specified by the manufacturer.
Use only with the cart, stand, tripod, bracket, or table specified by the manufacturer, or sold with the apparatus. When a cart is used, use caution when moving the cart/apparatus combination to avoid injury from tip-over.- Unplug this apparatus during lightning storms or when unused for long periods of time.
- Refer all servicing to qualified service personnel. Servicing is required when the apparatus has been damaged in any way, such as power supply cord or plug is damaged, liquid has been spilled or objects have fallen into the apparatus, the apparatus has been exposed to rain or moisture, does not operate normally, or has been dropped.
- The apparatus shall be connected to a MAINS socket outlet with a protective earthing connection.
- Where the MAINS plug or an appliance coupler is used as the disconnect device, the disconnect device shall remain readily operable.
Correct disposal of this product: This symbol indicates that this product must not be disposed of with household waste, according to the WEEE Directive (2012/19/EU) and your national law. This product should be taken to a collection center licensed for the recycling of waste electrical and electronic equipment (EEE). The mishandling of this type of waste could have a possible negative impact on the environment and human health due to potentially hazardous substances that are generally associated with EEE. At the same time, your cooperation in the correct disposal of this product will contribute to the efficient use of natural resources. For more information about where you can take your waste equipment for recycling, please contact your local city office, or your household waste collection service.- Do not install in a confined space, such as a book case or similar unit.
- Do not place naked flame sources, such as lighted candles, on the apparatus.
- Please keep the environmental aspects of battery disposal in mind. Batteries must be disposed-of at a battery collection point.
- This apparatus may be used in tropical and moderate climates up to 45°C.
LEGAL DISCLAIMER
Music Tribe accepts no liability for any loss which may be suffered by any person who relies either wholly or in part upon any description, photograph, or statement contained herein. Technical specifications, appearances and other information are subject to change without notice. All trademarks are the property of their respective owners. Midas, Klark Teknik, Lab Gruppen, Lake, Tannoy, Turbosound, TC Electronic, TC Helicon, Behringer, Bugera, Aston Microphones and Coolaudio are trademarks or registered trademarks of Music Tribe Global Brands Ltd. © Music Tribe Global Brands Ltd. 2021 All rights reserved.
LIMITED WARRANTY
For the applicable warranty terms and conditions and additional information regarding Music Tribe’s Limited Warranty, please see complete details online at community.musictribe.com/pages/support#warranty.
Before You Get Started
Shipment
Your VS series loudspeaker was carefully packed at the assembly plant to assure secure transport. Should the condition of the cardboard box suggest that damage may have taken place, please inspect the unit immediately and look for physical indications of damage.
- Damaged equipment should NEVER be sent directly to us. Please inform the dealer from whom you acquired the unit immediately as well as the transportation company from which you took delivery. Otherwise, all claims for replacement/repair may be rendered invalid.
- Please always use the original packaging to avoid damage due to storage or shipping.
- Never let unsupervised children play with the loudspeaker or with its packaging.
- Please dispose of all packaging materials in an environmentally friendly fashion.
Online registration
Please register your new Behringer equipment right after your purchase by visiting http://behringer.com and read the terms and conditions of our warranty carefully.
Should your Behringer product malfunction, it is our intention to have it repaired as quickly as possible. To arrange for warranty service, please contact the Behringer retailer from whom the equipment was purchased. Should your Behringer dealer not be located in your vicinity, you may directly contact one of our subsidiaries. Corresponding contact information is included in the original equipment packaging (Global Contact Information/European Contact Information). Should your country not be listed, please contact the distributor nearest you. A list of distributors can be found in the support area of our website (http://behringer.com).
Registering your purchase and equipment with us helps us process your repair claims more quickly and efficiently.
Thank you for your cooperation!
Basic operation
Using the VS series loudspeakers is easy and intuitive. Simply follow these steps to achieve the best possible sound:
- Plug the line-level outputs from a sound source such as a mixer or stereo system into a power amp of appropriate size (see 4.2 Power amp rating). Make sure the sound source and amplifier are turned off.
- Using ¼” TS speaker cables, plug the power amp output into the ¼” input on the back of the speaker. DO NOT use instrument cables (i.e., guitar cords) for this connection!
- If using a pair of VS loudspeakers, run the amp in stereo operation. If using just one loudspeaker, mono operation is preferable.
- If using four or more loudspeakers, there are a few ways to make the connections. The first is to use two power amps, one for each pair. Another is to connect the first pair of loudspeakers in normal stereo operation, then use the ¼” output jacks on the back of the loudspeakers to link the second pair of loudspeakers. This way each channel on the power amp is driving two loudspeakers. Make sure that the wattage and ohm rating are appropriate for this situation.
Caution
Never connect multiple power amps to one loudspeaker. Doing so could cause the very fabric of reality to unravel, sending the entire universe into oblivion. Worse yet, it could destroy your amplifiers and loudspeaker. - Turn the sound source on (mixer, stereo, etc.).
- Make sure the volume/gain control on the power amp is turned all the way down, and then turn the power on.
- Activate the sound source, whether it is playing music from a CD player or speaking into a microphone, and adjust the levels. Gradually raise the power amp volume level to desirable level. If distortion occurs, turn the power amp volume down. Should the problem persist, make sure distortion is not occurring at the sound source. If you reach the desired volume level by barely turning up the power amp level/gain, turn the sound source output down to allow the power amp to push the speakers more.
- Rock ‘n Roll!
Connections

- The VS series features two parallel ¼” TS loudspeaker inputs. You can connect one of the connectors to the output on your power amp and tap into the signal from the amp on the second connector, in order, for example, to feed this signal into an additional loudspeaker.

- ATTENTION: Never connect the output signals of different power amps to both parallel inputs at the same time. This may permanently damage your equipment.
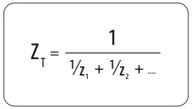
- When several loudspeakers are wired in parallel, the overall impedance ZT to be handled by the power amp can be calculated, as shown here, from the individual impedance values of the connected speakers:

For the VS series, here are typical connection scenarios:
- Two 8 Ohm speakers in parallel = 4 Ohms
- Four 8 Ohm speakers in parallel = 2 Ohms
- Two 4 Ohm speakers in parallel = 2 Ohms
- Four 4 Ohm speakers in parallel = 1 Ohm
- Your amplifier may be damaged if the actual impedance drops below its input impedance. Please make sure that the calculated total impedance ZT is not smaller than the minimum impedance specified for your amplifier.
Optimal Operation
We have developed the VS series for use in a wide range of possible applications. Of course, the sound of your loudspeakers depends on the acoustic characteristics of the room/space in which they are being used. The following chapters of this manual will give you information about getting the most out of your EUROLIVE loudspeakers.
Loudspeaker placement
Here are some tips to get optimal sound and performance from your loudspeaker(s):
- Elevate the loudspeaker at or above head level. High frequencies are the segment of the audio spectrum responsible for clarity and speech intelligibility. They can get muffled by the front row of the audience, so we recommend positioning your loudspeakers so the high-frequency drivers are slightly above the height of the audience. The more you can get everyone in direct earshot, the better. Imagine the loudspeaker is a giant flashlight, and you want to illuminate everyone in the room
- Avoid placing full-range loudspeakers in a corner or right next to a wall. This enhances the low frequencies and can cause the sound to get muddy. Subwoofers may be placed almost anywhere since low frequencies are not highly directional
- Make sure that the loudspeakers are not in a place where they could be knocked over by dancing audience members, overly eccentric stage performers, sudden earthquakes, etc.
- Some rooms, such as gymnasiums and auditoriums, create a large amount of natural reverb, making it difficult to maintain intelligible sound. Laying carpet or rugs on the ground and curtains across windows or brick walls will help dampen the reflections and improve the overall sound
How to prevent feedback
Always place the “front of house” speakers ahead of the microphones (from the audience’s perspective), and never behind. Use professional floor monitors or an in-ear monitoring system to allow the stage performers to hear.
How to avoid feedback when working with record players (DJ Applications)
In applications with record players, bass feedback can occur. Bass feedback occurs when low frequencies get back to the pickup and are reproduced on the loudspeakers. The most common causes for this are: speakers located too closely to the record player, a room with a wooden floor, or presence of a podium or a platform. In such cases, it is best to move the loudspeakers away from the record player and remove them from the stage, so that they are located on firm ground. Another option is to use raised stands, which prevent the loudspeakers from having a direct contact with the ground.
Loudspeaker protection by using a low-cut filter
Try to prevent damage to your loudspeakers caused by extreme oscillation of the low-frequency driver due to subsonic noise and extremely deep frequencies. Use an equalizer to cut off those frequencies that fall below your loudspeakers’ frequency range, or use a low-cut/high-pass filter. Most equalizers and sound improvement systems offer a low-cut function, like the Behringer ULTRAGRAPH DIGITAL DEQ1024, for example. Using a low-cut filter in your signal path is particularly recommended if you use record players or CD players as your signal source. CD players often produce extremely deep frequencies, which can lead to extreme excursions of the low-frequency driver.
Additional Considerations
Length and diameter of loudspeaker cables
Loudspeaker cables whose diameter is too small can considerably limit the power amp performance. The longer the cable, the more pronounced the problem. As a result, musicians often simply “turn up” the amp, which can lead to loudspeaker damage. Therefore, don’t use cables longer than 15 m (45 ft.). For most applications, this will not be necessary. Cable diameter should be at least 14 – 12 gauge.
Power amp rating
Selecting the right amp can turn out to be rather difficult. Therefore, stick to the following rule of thumb: the power rating of your amp should be roughly twice the loudspeaker load capacity. A loudspeaker rated at 200 Watts continuous performance can easily be powered by an amp rated at 400 Watts output power. An optimal addition to your speaker system would be the Behringer EUROPOWER EP2000 power amp, for example.
Fuses
We do not recommend the use of fuses with loudspeaker applications. Damage to loudspeakers can be the result of high peak signals and high output power. However, fuses can only offer protection from one of these two factors, and never from both. Additionally, fuse resistances are sometimes nonlinear, leading to distortion and unpredictable overdriving.
Protecting your equipment
- Always try to find the optimal signal level. Avoid overdriving your amp
- Keep in mind the physical limitations of your PA system
- Use a limiter to restrict the output signal level. Place the limiter between the mixing console and the power amp. For this purpose, our proven AUTOCOM PRO-XL MDX1600, COMPOSER PRO-XL MDX2600 and MULTICOM PRO-XL MDX4600 compressors offer an outstanding solution. All models can be used as a limiter: the audio signal doesn’t overdrive any more, and unpleasant “peaks” are effectively avoided
- Our ULTRADRIVE PRO DCX2496 and SUPER-X CX3400/CX2310 crossovers are particularly well-suited for protecting your equipment: for each output, they have independent limiters.
Application Examples
Full-range stereo operation
In this example, the main output signal of a mixing console is connected to a power amplifier. Both the outputs and inputs are stereo. A full-range VS series loudspeaker is connected to each of the amplifier outputs, and these loudspeakers reproduce the entire frequency range.

Full-range stereo operation with floor monitors
This example is a variation of the example above, with the addition of several VS1220F floor monitors. Two separate monitor outputs from the mixing console are connected to the inputs of a stereo power amplifier. A VS1220F is connected to each amplifier output, and a second VS1220F is connected to the parallel outputs of the first set of VS1220F monitors.

Two-way stereo operation with a crossover, full-range loudspeakers and subwoofers
Using an external active crossover, the main output signal of a mixing console is split into two signals. One signal covers the lower frequency range and the other signal covers the mid and high frequency range. The recommended crossover frequency is 150 Hz. Then, the mid-high frequency signal is connected to a stereo power amplifier. A VS series loudspeaker is connected to each of the amplifier outputs. The low-frequency signal is connected to an additional power amplifier, which powers two subwoofers.

Specifications
VS1520

VS1220F

VS1220

Behringer is constantly striving to maintain the highest professional standards. As a result of these efforts, modifications may be made from time to time to existing products without prior notice. Specifications and appearance may differ from those listed or illustrated.
![]()
Hereby, Music Tribe declares that this product is in compliance with Directive 2011/65/EU and Amendment 2015/863/EU, Directive 2012/19/EU, Regulation 519/2012 REACH SVHC and Directive 1907/2006/EC, and this passive product is not applicable to EMC Directive 2014/30/EU, LV Directive 2014/35/EU.
Full text of EU DoC is available at https://community.musictribe.com/
EU Representative: Music Tribe Brands DK A/S
Address: Gammel Strand 44, DK-1202 København K, Denmark
UK Representative: Music Tribe Brands UK Ltd.
Address: 6 Lloyds Avenue, Unit 4CL London EC3N 3AX, United Kingdom
We Hear You

Use only with the cart, stand, tripod, bracket, or table specified by the manufacturer, or sold with the apparatus. When a cart is used, use caution when moving the cart/apparatus combination to avoid injury from tip-over.


















