biosignalsplux Electromyography (EMG) Sensor User Manual
General Information
General Description
The biosignalsplux Electromyography (EMG) is designed to monitor muscular activity even in the most extreme conditions. The bipolar configuration is ideal for uncompromised low-noise data acquisition,
and the raw data output provides medical-grade data enabling it to be used for advanced and highly accurate biomedical, biomechanics, and sports research, among many other possible applications.
Together with our available EMG Analysis and Muscle Load Analysis add-ons for our OpenSignals (r)evolution software, one can easily extract statistical temporal and spectral parameters for further analysis of the acquired sensor data.
Figure 1: biosignalsplux Electromyography (EMG) sensor (standard version).
Typical Unfiltered Sensor Output
Figure 2 shows a typical unfiltered EMG sensor output acquired along the muscle of the biceps while two muscular contractions are performed over a time of 10 seconds. The raw digital sensor values received from the biosignalsplux device ranged between 0 and 2n -1 (n=sampling resolution) were converted into the original unit of measurement of this sensor (mV) using the transfer function found in section Transfer Function (Conversion Formula).
Figure 2: Typical unfiltered sensor output (signal acquired from the biceps while two contractions are performed).
Sensor Specifications
- Gain:-1007
- Bandwidth:-25-500Hz
- Input Impedance:-100GOhm
- Range:- ±1.49mV (@ VCC = 3V)
- Consumption:-̴1mA
- CMRR:-100dB
Features
- Bipolar differential measurement
- Unobtrusive & lightweight sensor
- High signal-to-noise ratio
- Pre-conditioned analog output
- Medical-grade raw data output
- Ready-to-use form factor
Applications
- Life sciences studies
- Biomedical Research
- Human-Computer Interaction
- Robotics & Cybernetics
- Physiology studies
- Biomedical device prototyping
- Psychophysiology
- Biomechanics
- Ergonomics
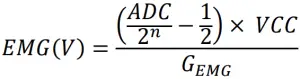
Transfer Function (Conversion Formula)
The analog sensor signals acquired with biosignalsplux devices are converted into digital values ranged between 0 and 2 n -1 (n=sampling resolution, usually 8-bit or 16-bit) and streamed in the raw digital format.
In most applications, the original physical unit of the acquired EMG signal is preferred or required. The raw digital sensor samples can be converted back into millivolt (mV) using the following formulas:

- () = () × 1000
- Valid sensor range: [-1.49mV, 1.49mV]
with | () | EMG signal in Volt (V) |
() | EMG signal in milli-Volt (mV) | |
C | Value samples from the sensor/channel (raw digital value) | |
n | Sampling resolution (default: 16-bit resolution (n=16), although 12-bit and 8- it may also be found in older versions | |
C | Operating voltage (3V when used with biosignalsplux) | |
g | Sensor gain (1007) |
Electrode Connections & Sleeve Color Meanings
Sleeve Color | Red | Black |
| Electrode Cable | + | – |
See Section 2 for more information on where to place the electrodes and to connect electrodes cables for EMG acquisitions
Physical Characteristic
| W1 x L1 x H1 | 1.6×2.2×0.5cm | W2 x L2 x H2: | 1.5×1.75×0.55cm |
| W3 | 0.9cm | L3 | 0.5cm |
| A1 | 105.0±0.5cm | A2: | 5.0±0.5cm |
| A3: | 2.5±0.5cm | D | 0.4cm |
| Available sleeve colors: | White, Black, Blue, Green, Red, Yellow, Gray, and Brown | ||

Figure 3: Physical characteristics of the standard Electromyography (EMG) sensor.
Sensor Application Notes
The biosignalsplux EMG is designed to acquire muscular activity along a muscle fibre of interest. Muscle activations are triggered by bioelectrical signals of very low amplitude sent from motor control neurons on our brain to the muscle fibres. Electromyography (EMG) enables the translation of these electrical signals into numerical values, enabling them to be used in a wide array of applications.
The two measuring electrodes must be placed along the muscle fibre and on the muscle hill. The reference electrode must be placed in a region of low muscular activity, optimally on a bone such as the elbow or the clavicle.
An example is the measurement of the muscular activity of the muscle biceps brachii (see muscle highlighted in red in Figure 4). The electrode positioning for this muscle is shown in Figure 4 in which the two measuring electrodes are placed on the muscle and the reference electrode on the bone.
Figure 4: Electrode positioning (I) to measure signals from the muscle biceps brachii (marked in red).
Possible electrode positions are listed in Table 1. The positive and the negative measuring electrodes can be positioned in either way but along the muscle fibre and on the muscle belly. The reference electrode must always be positioned on a bone.
Table 1: Possible electrode positions.
| Positive Electrode (+) (red sleeve) | Negative Electrode (- (black sleeve) | Reference Electrode (white sleeve) | |
I | Muscle position 1 | Muscle position 2 | Bone |
| II | Muscle position 2 | Muscle position 1 | Bone |
The muscular contraction of the biceps brachii can be performed by flexion of the elbow and supination of the forearm (see Figure 5).
Figure 5: Muscular contraction of the muscle biceps brachii (marked in red) while performing flexion of the elbow, forearm in supination.
Using the Electromyography (EMG) Sensor with biosignalsplux & OpenSignals
Connecting the sensor to biosignalsplux Systems
Biosignalsplux 4-Channel Hubs
The biosignalsplux EMG sensor is compatible with all 4 analog input channels of the 4-channel biosignalsplux hub, but incompatible with the reference/ground port. Connect the sensor to an analog input to use it with this device.
Figure 6: EMG compatible biosignalsplux channels (green checkmarks).
biosignalsplux 8-Channel Hubs
The biosignalsplux EMG sensor is compatible with all 8 analog input channels of the 8-channel biosignalsplux hub, but incompatible with the reference/ground and digital I/O ports. Connect the sensor to an analog input to use it with this device.
Figure 7: EMG compatible biosignalsplux channels (green checkmarks).
biosignalsplux Solo & Single-Channel openBAN Devices
The biosignalsplux EMG sensor is compatible with the analog input channel of the biosignalsplux Solo (openBAN) device. Connect the sensor to the analog input channel to use it with this device.
Figure 8: Connect the EMG to the analog input channel of the biosignalsplux Solo (openBAN).
Configuring the Sensor in OpenSignals
OpenSignals (r)evolution (Windows, macOS, Linux)
Open the OpenSignals (r)evolution device manager to access and configure your biosignalsplux device.
Figure 9: Access the OpenSignals (r)evolution device manager.
Select the device you intend to use for acquisition by clicking on ENABLE button on the device panel in the OpenSignals device anager. The device is activated for acquisition if the ENABLE button is blue.
Figure 10: Enabling the device for acquisition.
Click on the biosignalsplux logo to access the available settings. Select the channel your sensor is connected to and select the EMG from the dropdown menu highlighted in the next screenshot.

Figure 11: Set the channel type of the channel you have your EMG sensor connected to, to EMG.
Activate the channel for acquisition by clicking on the circle next to the channel type (must be blue). If not done before, follow the instruction available in section 2 Application Notes to learn how to apply the sensors and 3.1 Connecting the sensor to biosignalsplux Systems to learn how to connect your device to your biosignalsplux device. Click on the record button in the OpenSignals main interface whenever you’re ready for your acquisition
Figure 12: Start the acquisition whenever you’re ready.
Technical Note
The biosignalsplux technical notes aim to provide technical in-depth information about the different applications in which the EMG sensor can be applied. Find below a list of the available technical notes and the links to the respective documents.
EMG Sensor Facial – a technical note on how to apply the EMG sensor on facial muscles such as the buccinator muscle
Scientific Publications Using the Electromyography (EMG) Sensor
The following scientific is only a small selection extracted from the list of available publications using biosignalsplux. Please visit the following website to access the entire up-to-date list:
https://biosignalsplux.com/learn/publications.html
Safety & Maintenance
Safety Instructions
Please read the following safety instructions before using your biosignalsplux system with the EMG sensor to prevent any damages or problems with the user, test persons and/or biosignalsplux devices.
Violations of these instructions can lead to inferior signal quality and/or damages to the biosignalsplux system and user.
- The user should always keep the device and its accessories dry.
- The user must turn off the biosignalsplux device and contact Technical Support if the system or accessories reach uncomfortable temperatures.
- The user should not use the biosignalsplux device in noisy environments (environments with microwaves and other similar equipment). Doing so will lead to noise increase in the acquired signals and Bluetooth connectivity issues.
- The user must not use the device near the fire or in potentially explosive atmospheres, such as atmospheres with flammable gas.
- The user should only use the detection surfaces or other approved accessories purchased from PLUX or by a PLUX agent.
- The user should inspect the sensors on a regular basis to ensure that they remain in good working order.
- The user should stop using the biosignalsplux device if experience any kind of discomfort or skin irritation.
- Do not use the system on persons with allergies to silver.
- The user should dispose detection surfaces after using the biosignalsplux device. Detection surfaces are single-user and disposable. Reusable electrodes should be reused by the same user.
Do not use reusable electrodes on several users. - The user must not place the device in the microwave.
- The user must not insert objects into the holes of the device.
- The user should not open the biosignalsplux device or its accessories. The repair of the same should be only done by properly authorized PLUX personnel.
- The user should make sure the cables do not obstruct the passage of people.
- The user should use the sensor cables with extreme caution to avoid risk of strangulation.
- The user should keep a safe distance between the biosignalsplux device and other devices to ensure their proper functioning.
- The user should only send the device to repair to qualified PLUX personnel.
- The user should not immerse the sensors or the biosignalsplux device, nor clean with liquid or abrasives.
- The user should handle the biosignalsplux device with caution and not expose the device or accessories to high accelerations and vibrations.
- biosignalsplux devices should not be used in patients with implanted electronic devices of any kind, including pace-makers, electronic infusion pumps, stimulators, defibrillators or similar.
- Do not apply electrodes over damaged or irritated skin.
- Do not use your device while charging its internal battery.
Transportation and Storage
Please follow these recommendations to ensure safe transportation and storage of your biosignalsplux equipment and sensors to prevent any damaging of your system.
The biosignalsplux equipment and sensors should be stored in the original box in a dry place when those are not being used.
- Relative humidity: up to 95% with no condensation
- Ambient temperature: 10°C to 30°C
- Atmospheric pressure between 500hPa and 1060hPa
Whenever the equipment needs to be transported, it should be placed in the original box, since this was designed and tested to ensure the equipment and accessories are securely stored
Take care while handling the transportation of the system and avoid dropping it, since the device is not shock-proof and should not be placed under stress or sudden acceleration.
Cleaning
Please follow these cleaning instructions to prevent any damage of the system or the user because of conducting cleaning methods that may cause any damage.
- The biosignalsplux and sensors should be visually checked before each use and cleaning process to ensure that no mechanical damage occurred.
- The biosignalsplux equipment and sensors (including the cables) should be cleaned with a slightly damp cloth or suitable absorbent paper, ensuring no liquid enters the equipment of sensors. Do not use detergent or any type of cleaning liquid as these may damage your equipment and/or sensor.
- Do not clean or re-use detection surfaces (electrodes). They are only suitable for single use, and should be disposed of after usage except indicated otherwise.
Ordering Guides, Regulatory & Legal Information
Ordering Guide
Please follow the following ordering guide when submitting orders of EMG sensors to [email protected]. If no specification is provided, the standard version of the sensor will be delivered
Electromyography (EMG) Sensor
SKU Reference | PLUX Code | UPC |
| SENPRO-EMG1 | 820201201 | 641945696264 |
Description | ||
Muscle activity measurement | ||
Electrodes & Accessories
For a full list of available and compatible electrodes, please visit the biosignalsplux store
Guarantee of Quality & Warranty
biosignalsplux sensors have three months quality guarantee from the date of purchase. PLUX guarantees that the system, sensors and accessories will be free from material or manufacturing defects for the mentioned time periods following date of purchase.
If PLUX receives notification of any such defects within the guarantee period, it will repair or substitute with the same unit\model, any roducts with proven defects at no cost to the client. During the repair period LUX promises to provide a temporary replacement under the same specification. Repairs will be carried out at PLUX’s premises after the equipment has been received.
Warranty Voidance
Usage of the device that is not in accordance with the handling instructions indicated in the manual, or use with accessories other than those manufactured by PLUX will invalidate the warranty of your devices.
Be careful when connecting your biosignalsplux devices, sensors and/or accessories to any third party device including the usage of the 3rd party connection components that are available for biosignalsplux systems as the usage of these components will void the electrical warranty of your biosignalsplux device and sensors and, if not indicated otherwise, the warranty of the 3rd party system you’re connecting to the device. Check the electrical specifications of both systems you want to connect to prevent any damage of the user(s) or the systems.
In the case of warranty voidance, the same applies that we expressly disclaim any liability whatsoever for any direct, indirect, consequential, incidental or special damages, including, without limitation, lost revenues, lost profits, losses resulting from business interruption or loss of data, regardless of the form of action or legal theory under which the liability may be asserted, even if advised of the possibility of such damages
Contact & Support
Contact us if you are experiencing any problems that cannot be solved with the information given in the biosignalsplux documentation
Please send us an e-mail with precise information about the error occurrence, device configuration, and, if possible, screenshots of the problem to [email protected].
Regulatory Disclaimer
biosignalsplux products are intended for use in life science education and research applications; they are not medical devices nor are they intended for medical diagnosis, cure, mitigation, treatment or prevention of disease. we expressly disclaim any liability whatsoever for any direct, indirect, consequential, incidental or special damages, including, without limitation, lost revenues, lost profits, losses resulting from business interruption or loss of data, regardless of the form of action or legal theory under which the liability may be asserted, even if advised of the possibility of such damages.
PLUX Wireless Biosignals S.A.
email: [email protected]
web: http://www.plux.info
Headquarters
Zona Industrial das Corredouras, Lt. 14 – 1°
2630-369 Arruda dos Vinhos
Portugal
tel.: +351 263 978 572
fax: +351 263 978 902
Lisbon Office
Av. 5 de Outubro, n° 79 – 2°
1050-059 Lisboa
Portugal
tel.: +351 211 956 542
fax: +351 211 956 546
References
biosignalsplux | Welcome
📧[email protected]
📧[email protected]
📧[email protected]
PLUX Biosignals
PLUX Biosignals
Shop all Plux products
biosignalsplux - PLUX Store
Electromyography (EMG) Analysis Add-on - PLUX Store
biosignalsplux | OpenSignals More about Checkout Cart Remove from Cart Settings Update Cart Shopping Basket Basket Paper Bag Shopping Bag Retail Bag Shopping Bag Woman Bag US Dollar Dollar Sign Dollar Badge Euro Euro Sign Euro Badge Japanese Yen Yen Sign Y
biosignalsplux | Documentation



















