HOSPITECH RESPIRATION HSCUFF0041 AG Cuffill Measuring Intra Cuff Pressure

Intended User
Intended Use: (Indications for Use):
The Hospitech AG Cuffill is intended to measure and regulate the intra-cuff pressure of Endotracheal tubes, Tracheotomy tubes and Laryngeal Masks Airways (LMAs) (supraglottic airways).
Intended User:
The Hospitech AG Cuffill is used under medical supervision in hospitals, pre-hospital (EMS), extended care facilities and outpatient clinics, where a patient may be intubated.
- The AG Cuffill is intended for an air-filled cuff and should not be used with liquids, which will cause damage.
- The AG Cuffll should not be used for continuous monitoring. It should be disconnected each time, after use.
- The AG Cuffill should be kept in a dry environment during transport and storage.
- Make sure that the luer (connector) at the tip of the cuffill is clear of any obstruction and is open to ambient pressure.
Specifications
Range of measured cuff pressure:
- Model HSCUFF0031: 0-99 mmHg
- Model HSCUFF0041: 0-99 cmH20
Accuracy of cuff pressure measurement:
- Model HSCUFF0031: ±2 mmHg
- Model HSCUFF0041: ±2 cmH20
- Size: Length: 13 cm; Diameter: (ID) 15 mm Weight: 18 gr.
- Power: CR1632 3VDC / 130mAh battery
- Volume delivered: 0-10 cc in 1cc graduations
- Number of operations: 100
Environmental conditions:
- Storage/Operation:
- Temperature: +10… +30ºC (50…85ºF)
- Relative air humidity without condensation: 5…95% Atmospheric Pressure: 700hPa-1060hPa
Transport:
- Temperature: -30…+60 ºC (-22…140ºF)
- Relative air humidity without condensation: 30…95% Atmospheric Pressure:700hPa-1060hPa
- Not made with natural rubber latex.
Instructions for Use
Measuring Cuff Pressure:
(See the following figure.)
- Turn ON the AG Cuffill by pressing the power button on the right side of the display. The display will blink twice showing the number of readings left and then will display “00”.(see section 6 – Display)
- Push the syringe plunger in until it stops.
- Connect the AG Cuffill to the Airway cuff inflation line and read the pressure value.
- If required, cuff pressure may be reduced by pulling back the plunger until the required pressure is achieved.
- Disconnect the AG Cuffill from the cuff inflation line.
Adjusting Cuff Pressure:
(See the following figure.)
- Turn the AG Cuffill ON by pressing the power button on the right side of the display.The display will blink twice showing the number of readings left and then will display “00”. (see section 6 – Display)
- Position the plunger about halfway out.
- Connect the AG Cuffill to the Airway cuff inflation line.
- Adjust the plunger until the required pressure is achieved. If the required pressure is not achieved, disconnect the AG Cuffill, pull the plunger 1-2 cc backward and repeat this step.
- Disconnect the AG Cuffill from the Airway cuff inflation line.
ATTENTION:
When disconnecting, the Cuff pressure may be may drop by 1-2 cmH2O/mmHg.
Cleaning, Disinfection and Storage Instructions
General instructions for cleaning and disinfection
One of the cleaning and disinfection options described below are to be applied after each patient. The Cuffill is limited to 100 uses on the same or different patients.
- Pull out the plunger from the syringe barrel.
- While cleaning or disinfection, prevent entry of any fluid into the AG Cuffill sensor at the tip of the black gasket.
Option A:
Cleaning and disinfection with germicidal/ disinfectant wipes
- Use either one of the following Alcohol-based wipes: Super Sani Cloth™ or Maxiwipe™(55% Alcohol and 0.5% Quat); Sani Cloth Prime™ (56% Alcohol and 0.6% Quat); Medline Micro-Kill One™ or Peak™ or Wedge™ (each with 72.5 %Alcohol and 0.33% Quat). When using any of the wipes above, always follow the manufacturer’s recommendations and instructions below:
Option B:
Cleaning and disinfection with solutions and pads
- Use soft, clean, new pads, taking care not to saturate the pads.
Cleaning
- Soak a clean pad with Alconox 1% (diluted with distilled water) or Septal Scrub 4% Chloroxidine solution.
- Wipe the device surfaces (barrel and plunger)and clean thoroughly until the product is clean from contamination. Repeat at least 4 times.
- Soak a clean pad with distilled water. Wipe and clean the device surfaces.
- Wipe the device surfaces with a dry pad and make sure to leave to dry for one hour on a clean surface in the room.
Disinfection
- Soak a clean pad with either: Alcohol IPA 70% or Hydrogen Peroxide 1.4 %.
- Wipe the device surfaces(barrel and plunger) and clean thoroughly until the product is clean from contamination. Repeat at least 4 times.
- Wipe the device surfaces with a dry pad and make sure to leave to dry for 2 minutes on a clean surface in the room.
- After completing the cleaning process and the disinfection process, insert the plunger back to the syringe barrel. The Cuffill is now ready to be used on a new patient.
Storage Between Same or new patients:
- While being used in an ICU for same patient: the device should be kept at the patient bedside trolley/bench.
- While stored between patients: As other medical devices, it should be kept in a closed cabinet in the unit storage room. It is recommended to store in a disposable plastic bag.
Display

When first pressing the button:
Immediately after pressing the power button, the display blinks twice, indicating the number of operations left and then will display 00 indicating the device is ready for use.
Display blinks 1H:
Counter –over 1 Hundredoperations left.
NOTE: a new device may show 1H a few times.
Display blinking values 99 to 01:
Counter – number of operations left.
Display reads 00 after blinking:
Normal. Ready for Use.
During measurement:
Display reads 00 to 99:
Value of pressure measured.
Display reads UP:
Under Pressure, Vacuum.
Display reads OP:
Over Pressure, above 99 cmH2O /mmHg.
Diagnostics:
Display reads E1 and shuts down:
End of allowed user operations.
Display reads E2,E3, or E4 and shuts down:
System error. Device unusable.
Display reads any value other than ’00’ after blinking:
Calibration required. Perform calibration. (Seebelow)
Display Flickers:
EMC interference: Do not use. (See more in chapter 7)
Calibration:
Calibration can only be carried out when the Cuffill is disconnected from the cuff inflation line.
- Make sure that the AG Cuffill connector (Luer) is clear of any obstructions.
- Press and hold the Power Button for more than 5 seconds.
- followed by ’00’ should be displayed.
- If a value other than ’00’ appears, the device is not usable.
NOTE: The device automatically turns OFF 60 seconds after activation.
Information on Electro Magnetic Compatibility (EMC) &EMC Declarations(IEC 60606-1-2)
WARNING:
- “Use of this equipment adjacent to or stacked with other equipment should be avoided because it could result in improper operation. If such use is necessary, this equipment and the other equipment should be observed to verify that they are operating normally.”
- “Portable RF communications equipment (including peripherals such as antenna cables and external antennas) should be used no closer than 30 cm (12 inches) to any part of the AG Cuffill including cables specified by the manufacturer. Otherwise, degradation of the performance of this equipment could result.”
- “Avoid using equipment in case the display flickers with no ability to read the value during the disturbance”.
| Manufacturer Declaration- electromagnetic emissions | ||||
| Classification of Equipment (CISPR11/EN 55011) | ||||
| Compliance Test | Compliance | Electromagnetic environment -guidance | ||
| RF emissions CISPR 11 | Group 1 | AG Cuffill belongs to this group of equipment where RF energy is used only for internal function. | ||
| RF emissions CISPR 11 | Class B | AG Cuffill belongs to this group which offers suitable protection in both domestic (residential) environments and in hospitals, and any other facilities where ventilated patients are taken care of (e.g. outpatient clinics). | ||
| Manufacturer declaration – electromagnetic immunity | ||||
| IMMUNITY test | IEC 60601-1-2 TEST LEVEL | Compliance level | Electromagnetic environment –guidance | |
| Electrostatic discharge (ESD) IEC 61000-4-2 | 8 kV contact 2, 4, 8, 15kV air | 8 kV contact 2, 4, 8, 15kV air | Floors should be wood, concrete or ceramic tile. If floors are covered with synthetic material, the relative humidity should be at least 30 %. | |
| Power frequency(50/60 Hz) magnetic field IEC 61000-4-8 | 30 (A/m) | 30 (A/m) | Power frequency magnetic fields should be at levels characteristic of atypical locations in a typical commercial or hospital environment. | |
| Portable and mobile RF communications | ||||
| 10V/m | 10V/m | equipment should be used no closer to any | ||
| Radiated RF | 3V from 0.15 to 80MHz; | 3V from 0.15 to80MHz; | part of the AGCuffillincluding cables, than the | |
| IEC 61000-4-3 | 6V from 0.15 to80MHz and 80% AMat 1kHz | 6V from 0.15 to80MHz and 80% AMat 1kHz | recommended separation distance calculated from the equation applicable to the frequency of the transmitter. Recommended separation | |
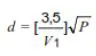
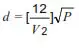
| 10V/m from 80MHzto 2.7GHz | 20V/m from 80MHzto 2.5GHz | distance. | ||
| 10V/m from2.5GHz to 2.7GHz | ![]() | |||
| Mil-STD-461E | 20V/m 100kHz – | 20V/m 100kHz – | ||
| Radiated immunity | 150KHz | 150KHz | where P is the maximum output power rating | |
| of the transmitter in watts (W) according to the | ||||
| 20V/m 13.5MHz – | 20V/m 13.5MHz – | transmitter manufacturer and d is the | ||
| 13.6MHz | 13.6MHz | recommended separation distance in meters (m).Field strengths from fixed RF transmitters, | ||
| determined by an electromagnetic site | ||||
| survey, should be less than the compliance | ||||
| level in each frequency range. | ||||
| Interference may occur in the vicinity of | ||||
| equipment marked with the following symbol: | ||||
| Recommended separation distances between portable and mobile RF communications equipment and theAGCuffill | ||||
| Rated maximum output power of the transmitter (W) | Separation distance according to the frequency of the transmitter (m) | |||
| 150 kHz to 80 MHz outside ISM bands
| 150 kHz to 80 MHz in ISM bands
| 80 MHz to 800 MHz
| 800 MHz to 2,5 GHz
| |
| 0.01 | 0.12 | 0.2 | 0.4 | 1 |
| 0.1 | 0.37 | 0.64 | 1.3 | 2.6 |
| 1 | 1.17 | 2 | 4 | 8 |
| 10 | 3.7 | 6.4 | 13 | 26 |
| 100 | 11.7 | 20 | 40 | 80 |
| Test specifications for ENCLOSURE PORT IMMUNITY to RF wireless communications equipment | |||||||
| Test frequency (MHz) | Banda (MHz) | Servicea) | Modulationb | Maximum power (W) | Distance (m) | IMMUNITY TEST LEVEL (V/m) | Compliance level (V/m) |
| 385 | 380 –390 | TETRA 400 | Pulse modulation) 18 Hz | 1.8 | 0.3 | 27 | 27 |
| 450 | 430 – 470 | GMRS 460, FRS 460 | FM c ± 5 kHz deviation 1 kHz sine | 2 | 0.3 | 28 | 28 |
| 710 | 704 – 787 | LTE Band 13, 17 | Pulse modulationb) 217 Hz | 0.2 | 0.3 | 9 | 9 |
| 745 | |||||||
| 780 | |||||||
| 810 | 800 – 960 | GSM 800/900, TETRA 800, iDEN 820, CDMA 850, LTE Band 5 | Pulse modulationb) 18 Hz | 2 | 0.3 | 28 | 28 |
| 870 | |||||||
| 930 | |||||||
| 1720 | 1 700 –1 990 | GSM 1800; CDMA 1900; GSM 1900; DECT; LTE Band 1, 3, 4, 25; UMTS | Pulse modulationb) 217 Hz | 2 | 0.3 | 28 | 28 |
| 1845 | |||||||
| 1970 | |||||||
| 2450 | 2400 –2570 | Bluetooth, WLAN, 802.11 b/g/n, RFID 2450, LTE Band 7 | Pulse modulation b) 217 Hz | 2 | 0.3 | 28 | 28 |
| 5240 | 5100 –5 800 | WLAN 802.11 a/n | Pulse modulationb) 217 Hz | 0.2 | 0.3 | 9 | 9 |
| 5500 | |||||||
| 5785 | |||||||
| NOTE: If necessary to achieve the IMMUNITY TEST LEVEL, the distance between the transmitting antenna and the ME EQUIPMENT or ME SYSTEM may be reduced to 1 m. The 1 m test distance is permitted by IEC 61000-4-3. | |||||||
| a) For some services, only the uplink frequencies are included. b) The carrier shall be modulated using a 50 % duty cycle square wave signal. c) As an alternative to FM modulation, 50 % pulse modulation at 18 Hz may be used because while it does not represent actual modulation, it would be worst case. | |||||||
| Safety Compliance: | Safety Compliance: IEC 60601-1edition 3.1 |
| EMC Compliance: | IEC 60601-1-2 2014: RF emissions CISPR 11 Group 1 Class B; IEC 61000-4-3; IEC 61000-4-8; IEC 61000-4-2; |
| R ONLY | Caution: Federal law restricts this device to sale by or on the order of a physician or properly licensed practitioner (Rx ONLY) |
Hospitech Respiration 15 Atir Yeda, Kfar Saba 4464312, ISRAEL Email: [email protected].























